Figure 2

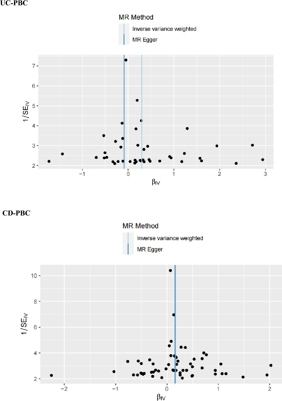
Causal relationships between UC or CD and PBC in funnel plots. UC ulcerative colitis, CD Crohn’s disease, PBC primary biliary cholangitis, MR Mendelian randomization.

Causal relationships between UC or CD and PBC in funnel plots. UC ulcerative colitis, CD Crohn’s disease, PBC primary biliary cholangitis, MR Mendelian randomization.