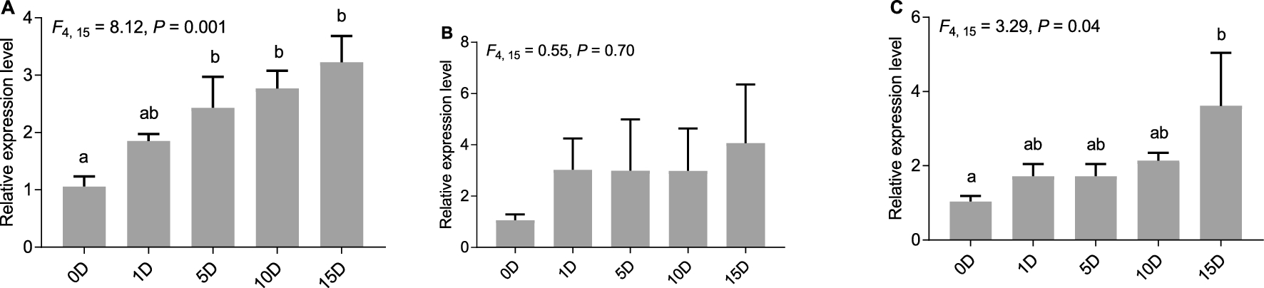
Figure 5

Expression profiles of let-7-3p using different reference genes in the thorax + abdomen after treating workers with methoprene. (A) Expression profile of let-7-3p normalized to the most stable reference gene (novel-m0649-3p) in the thorax + abdomen. (B) Expression profile of let-7-3p normalized to the least stable reference gene (U6) in the thorax + abdomen. (C) Expression profile of let-7-3p normalized to the combination of novel-m0649-3p and miR-2788-3p.