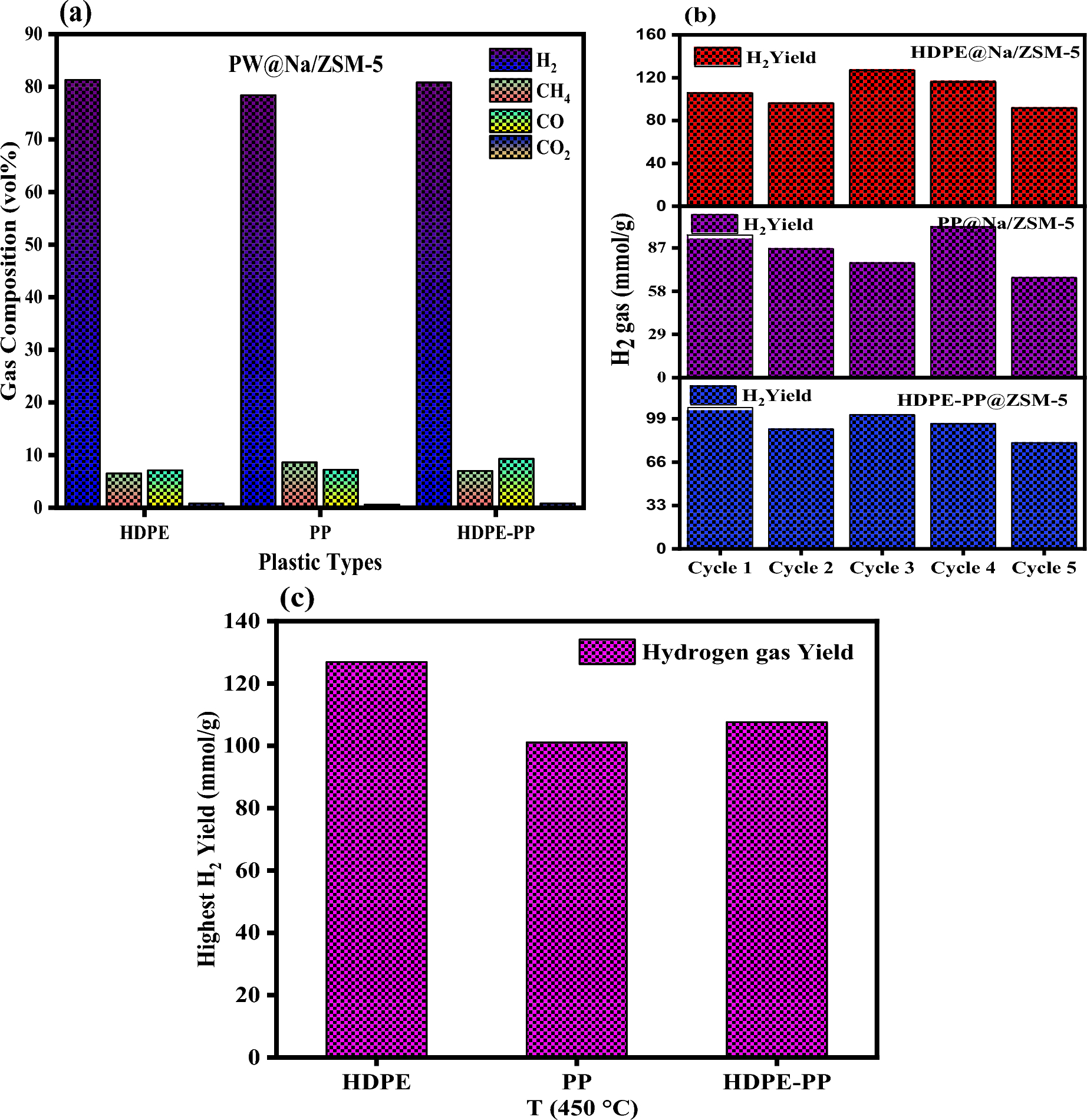
Figure 4

(a) Different gas compositions of H2, CH3, CO, and CO2 over plastic type, (b) hydrogen gas efficiency (mmol/g) for each cycle of experiment for different plastic wastes, and (c) highest gas yield efficiency in different plastic wastes at 450 °C.