Figure 15

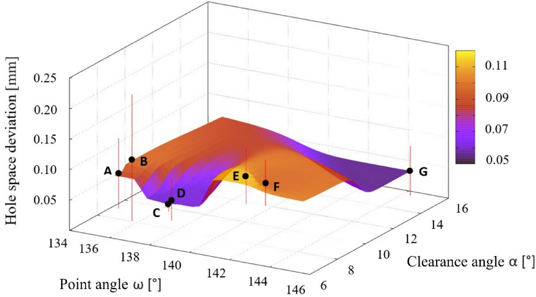
The dependence of the deviation value from the nominal value of the drilled holes spacing on the choice of the point angle and the clearance angle on the drill.

The dependence of the deviation value from the nominal value of the drilled holes spacing on the choice of the point angle and the clearance angle on the drill.