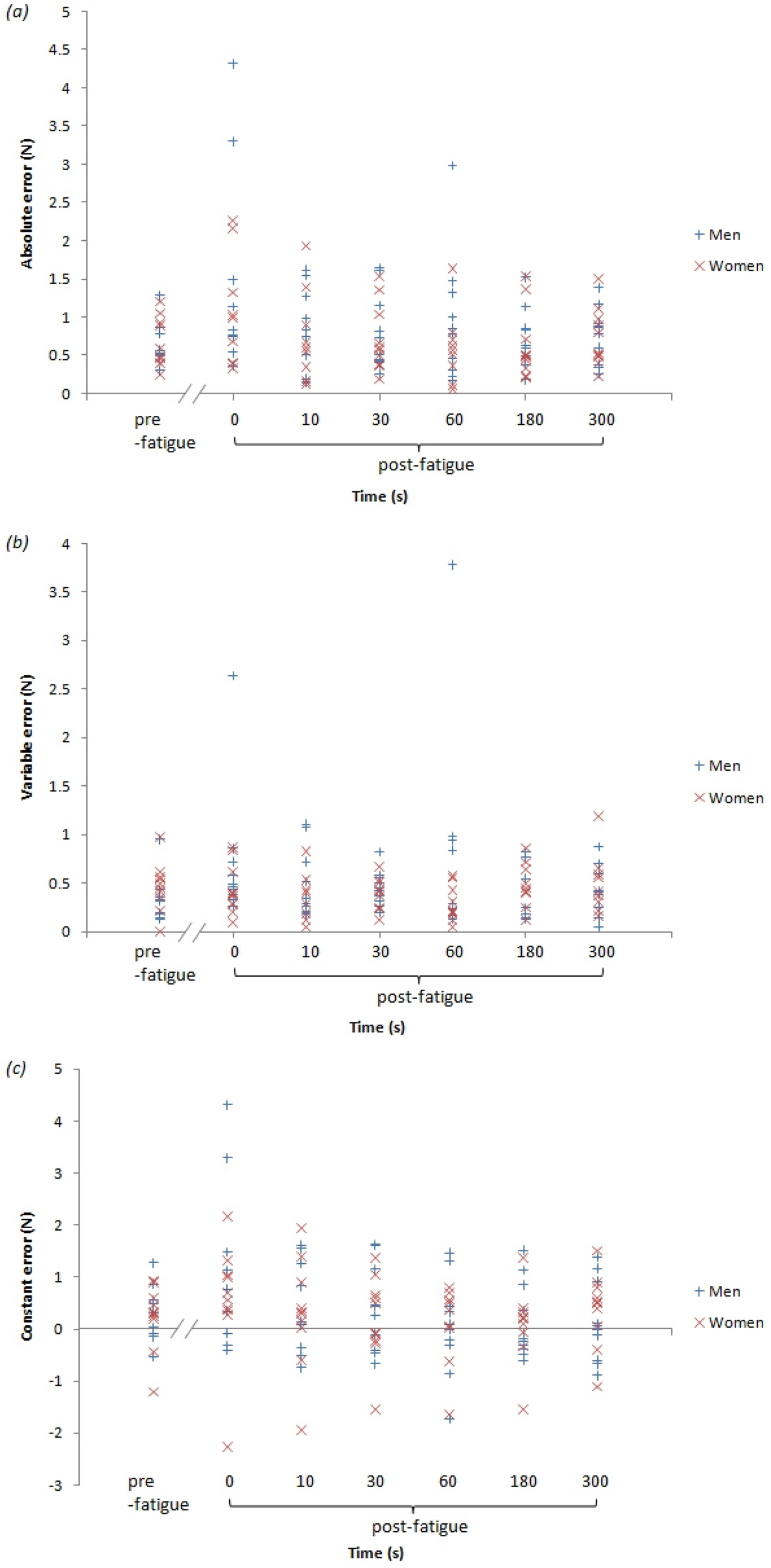
Figure 4
From: Recovery of pinch force sense after short-term fatigue

The individual accuracy, direction, and precision values were assessed based upon (a) absolute error, (b) constant error, and (c) variable error as a function of participant sex and time.