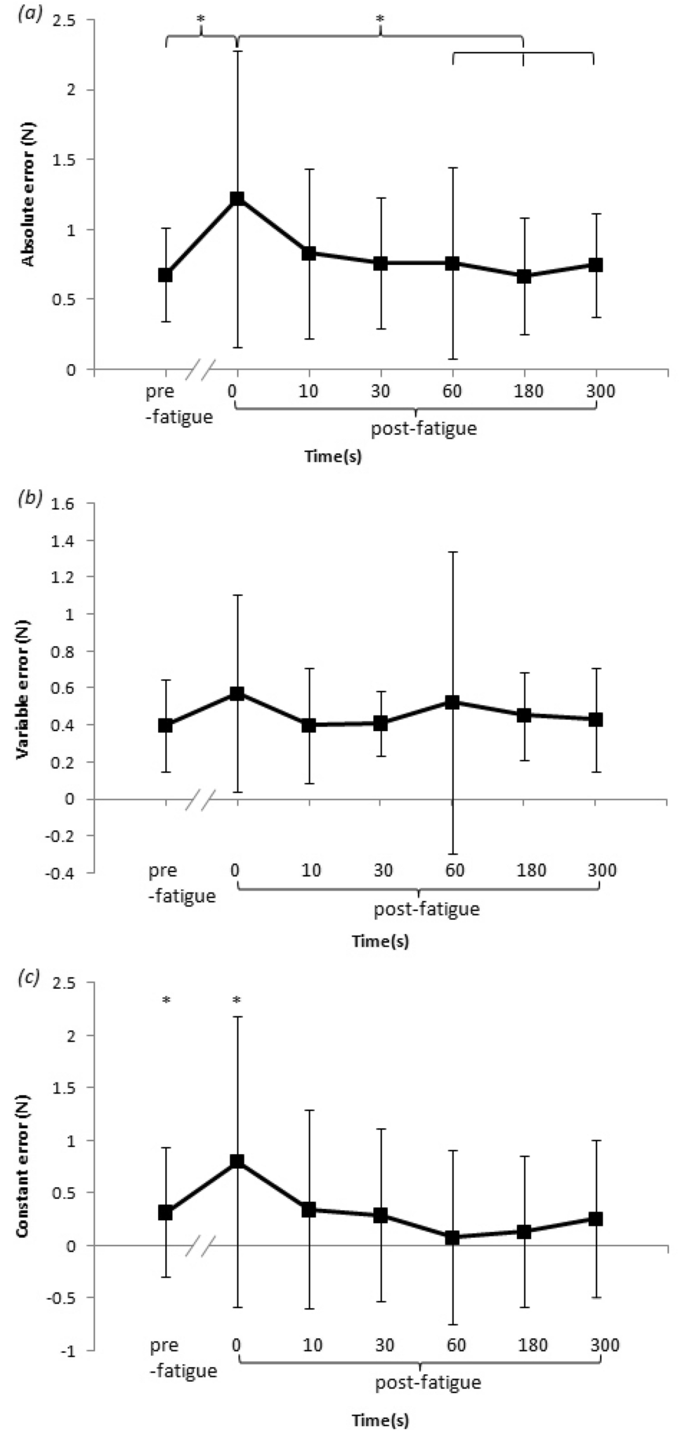
Figure 5
From: Recovery of pinch force sense after short-term fatigue

(a) Absolute error was used to assess the overall error in force reproduction based on time. (b) The variable error was used to assess the variability in error among the trials as a metric for individual performance based on times. (c) Constant error, the force of the reproduction directionality of error, as a function of time ( P < 0.05).