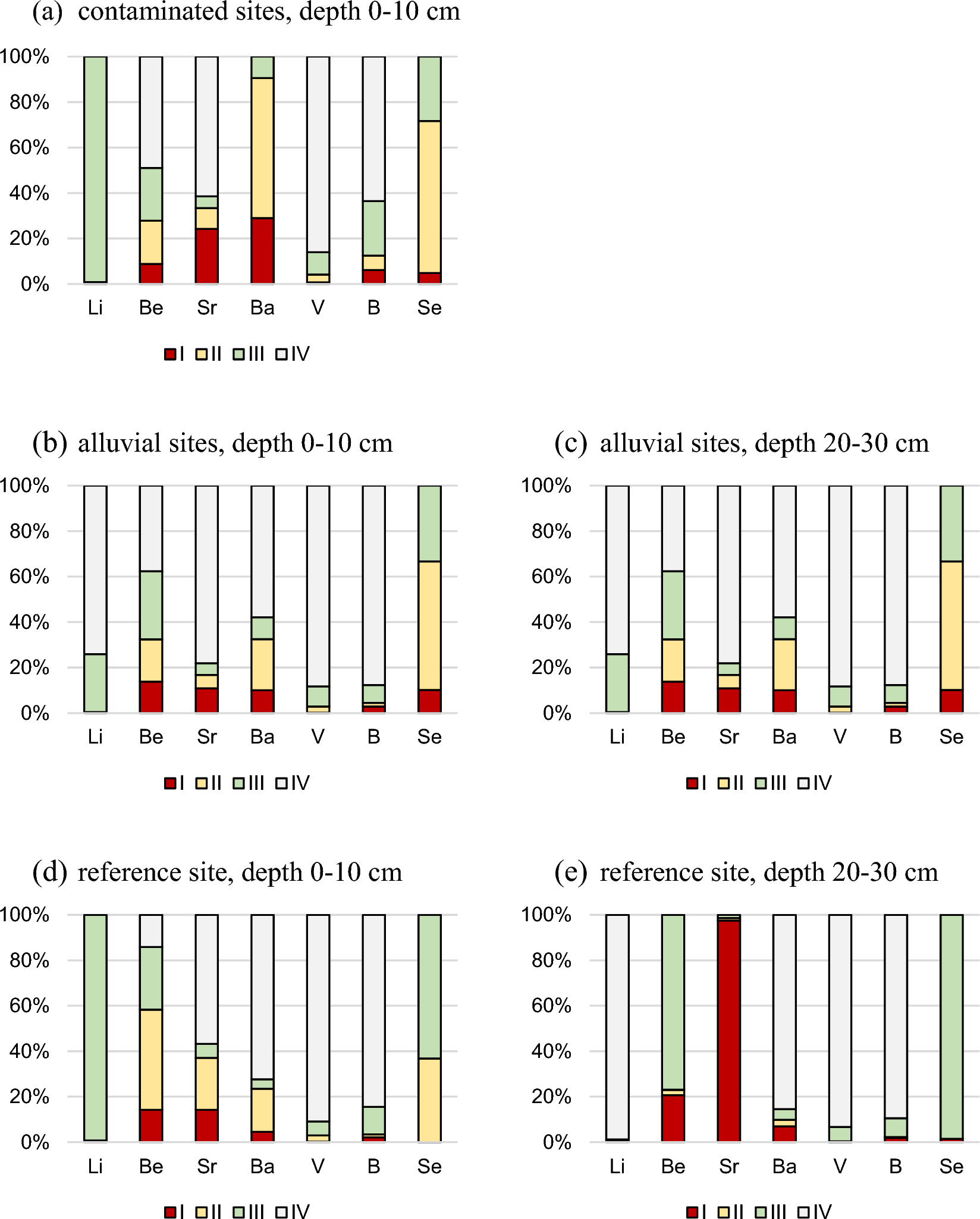
Figure 2

Emerging environmental contaminants distribution in 4 fractions in the depth of 0–10 and 20–30 cm in contaminated, alluvial, and reference sites. I—exchangeable fraction, II—reducible fraction, III—oxidisable fraction, IV—residual fraction.

Emerging environmental contaminants distribution in 4 fractions in the depth of 0–10 and 20–30 cm in contaminated, alluvial, and reference sites. I—exchangeable fraction, II—reducible fraction, III—oxidisable fraction, IV—residual fraction.