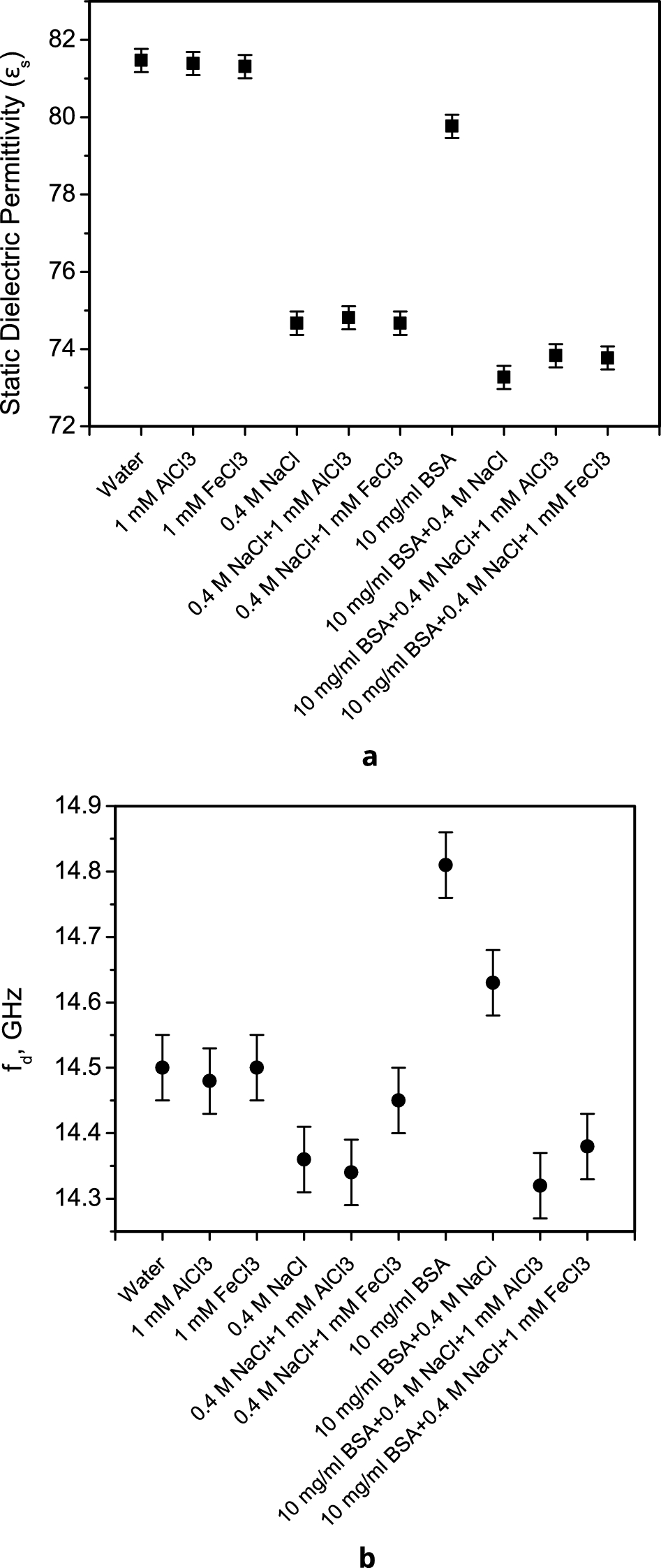
Figure 3

(a) Static permittivity \({\varepsilon }_{s}\) of aqueous solutions of salts and BSA (15.5 ± 0.1 °C); (b) frequency of dielectric relaxation of water molecules fd in aqueous solutions of salts and BSA (15.5 ± 0.1 °C).

(a) Static permittivity \({\varepsilon }_{s}\) of aqueous solutions of salts and BSA (15.5 ± 0.1 °C); (b) frequency of dielectric relaxation of water molecules fd in aqueous solutions of salts and BSA (15.5 ± 0.1 °C).