Figure 2
From: Relationships between cognitive biases, decision-making, and delusions

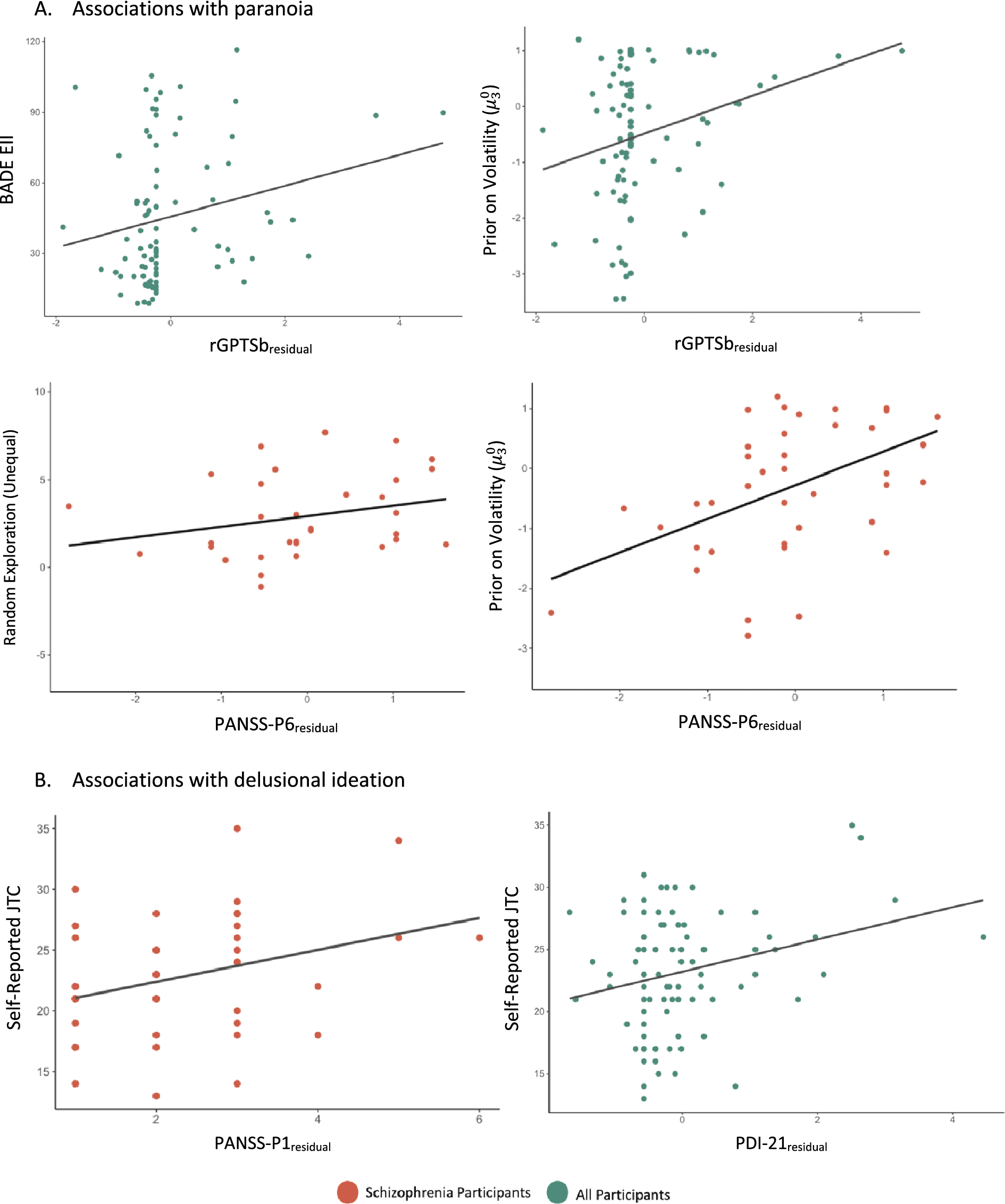
Scatterplots showing linear associations between variables that were significantly associated with (A) paranoia and (B) delusional ideation in the linear regression models.