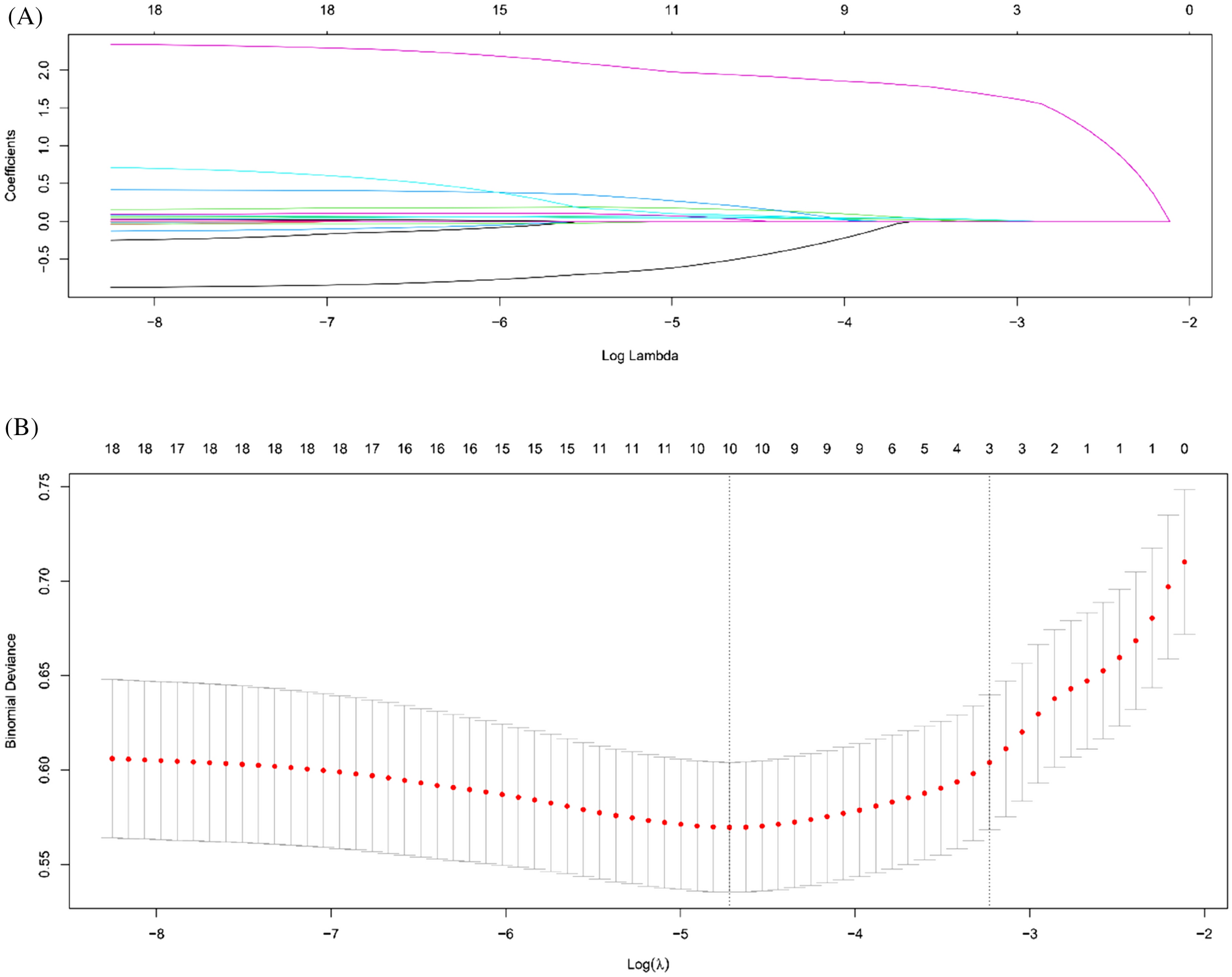
Figure 2

Clinical variables were selected using the least absolute shrinkage and selection operator (LASSO) logistic regression model. (A) Shrinkage of coefficients by hyperparameter (λ). (B) Hyperparameter selection (λ) using cross-validation. The dotted line indicates the value of the harmonic log (λ) when the error of the model is minimized. In the LASSO logistic regression model, three variables (age, ISS, and flail motion) were selected when log (λ) was − 3.2302.