Figure 5
From: Localization of the ventricular pacing site from BSPM and standard 12-lead ECG: a comparison study

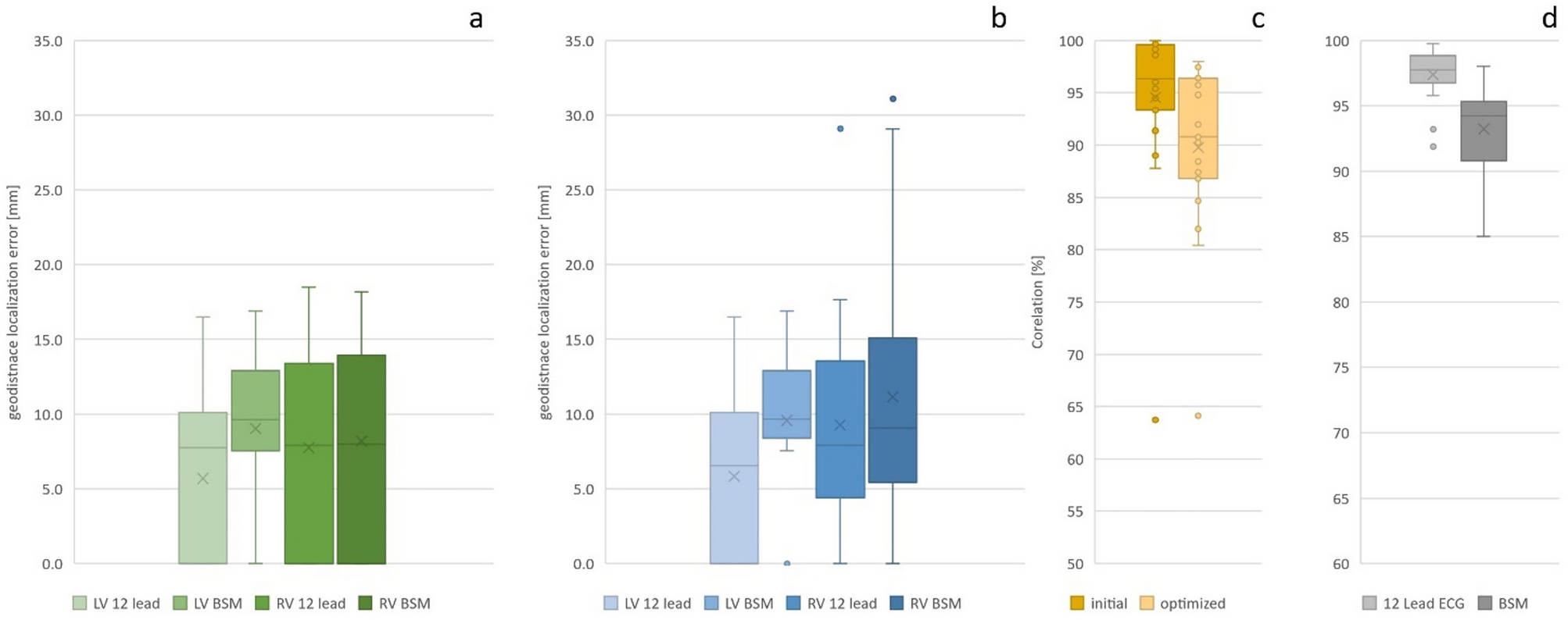
Localization errors and correlations between different localizations. (Panel a) Geodesic localization error for the initial (green) and optimized (blue) activation sequence (panel b). A geodesic error of 0 mm means that the identified lead location was on the triangle to which the CT derived lead location was projected. (Panel c) shows the correlation for the normal sinus rhythm activation maps derived from the 12-lead ECG and the BSPM for the initial sequence (dark yellow) and after the final optimization (light yellow). In (Panel d) the correlation of the activation sequence before and after optimization in case the 12-lead ECG was used (light gray) and when the BSPM was used (dark gray). The found correlations were in most cases well above 90% , i.e. the initial and optimized map were similar.