Figure 1
From: Obesity paradox as a new insight from postoperative complications in gastric cancer

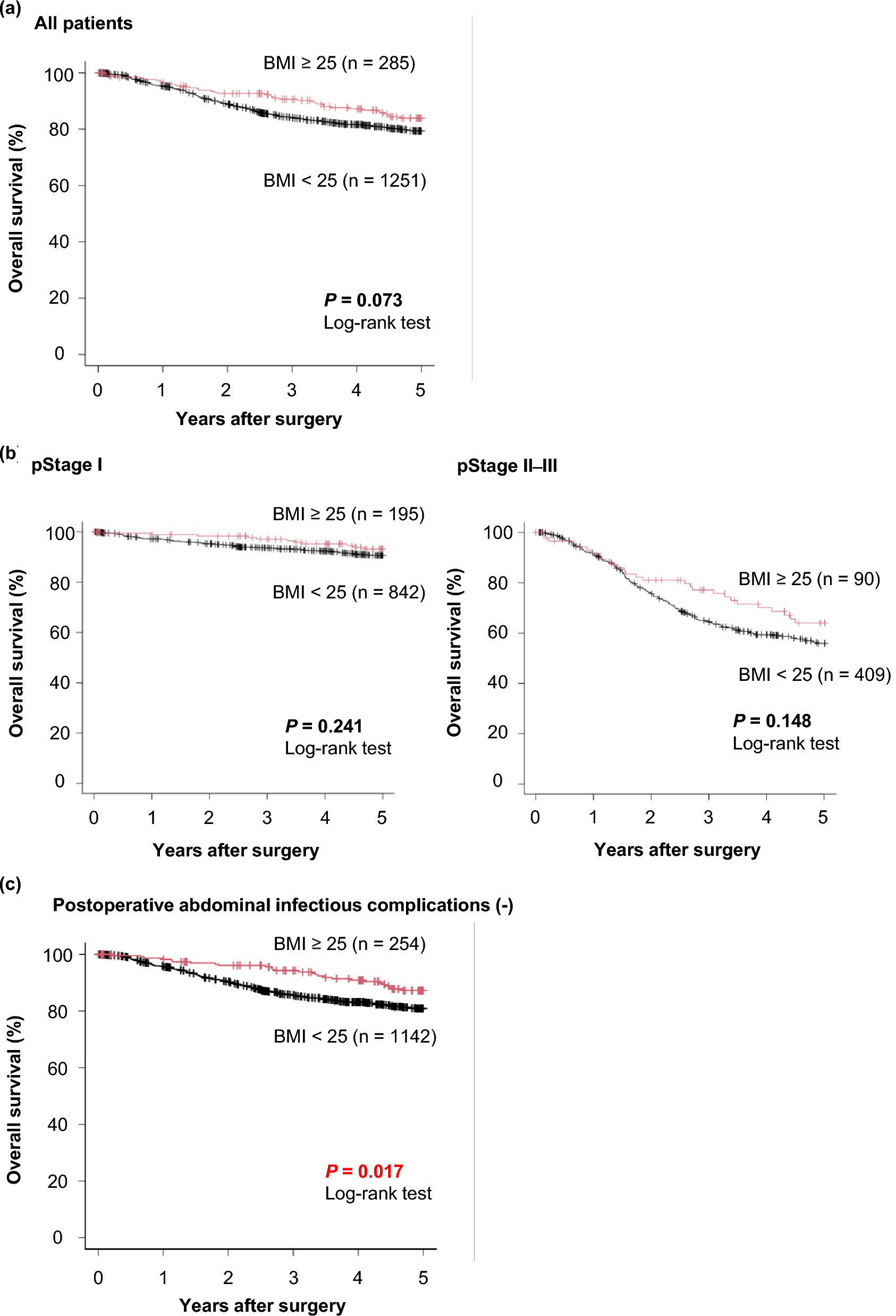
(a) Survival curves for all patients. There was no prognostic difference between obese and non-obese patients (P = 0.073). (b) Survival curves according to pStage. There was no prognostic difference between obese and non-obese patients (P = 0.241, P = 0.148). (c) Survival curves for patients without postoperative abdominal infectious complications (PAIC) according to a BMI cut-off value of 25. Obese patients had a significantly better prognosis than non-obese patients (P = 0.017).