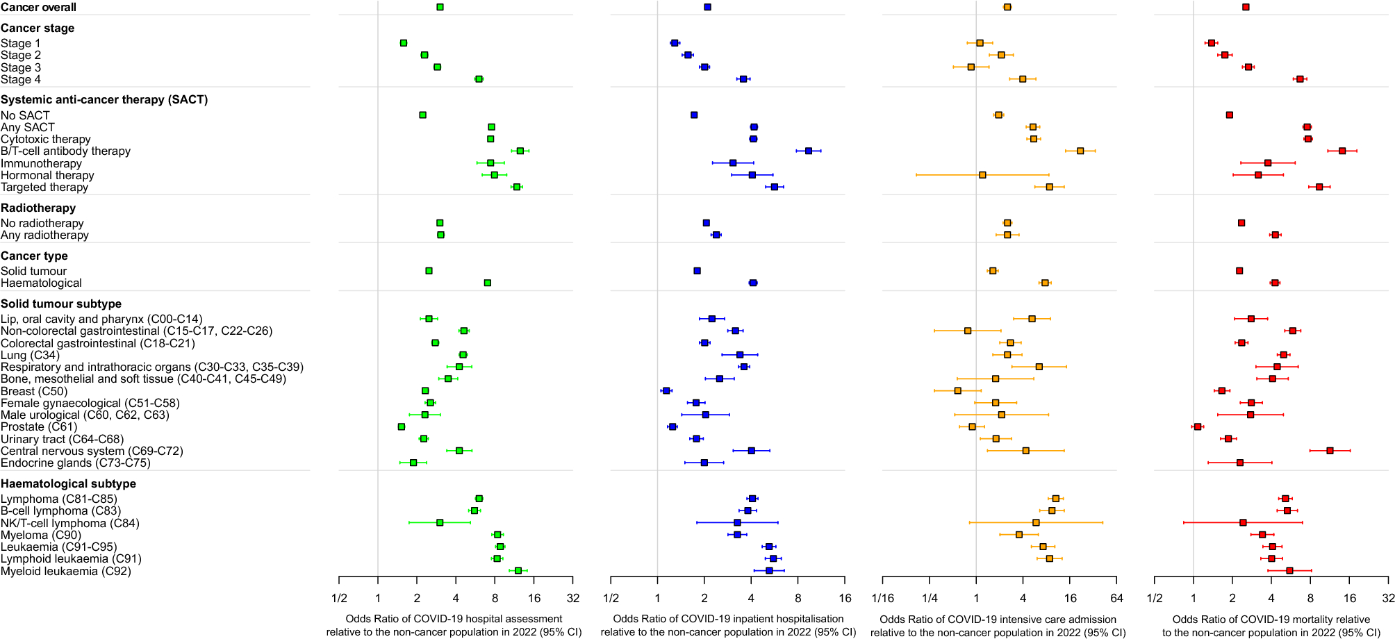
Figure 2

Relative risk of severe clinical outcomes in subgroups of patients with cancer compared to the non-cancer population following a COVID-19 infection between January 2022 and August 2022. Multivariable logistic regression models adjusting for age, sex, ethnicity and deprivation show the relative risk of COVID-19 hospital assessment (green), inpatient hospitalisation (blue), intensive care admission (orange) and mortality (red). Odds ratios are used to approximate relative risk with 95% confidence intervals. Corresponding ICD-10 codes for specific primary tumour subtypes are listed in brackets.