Figure 4

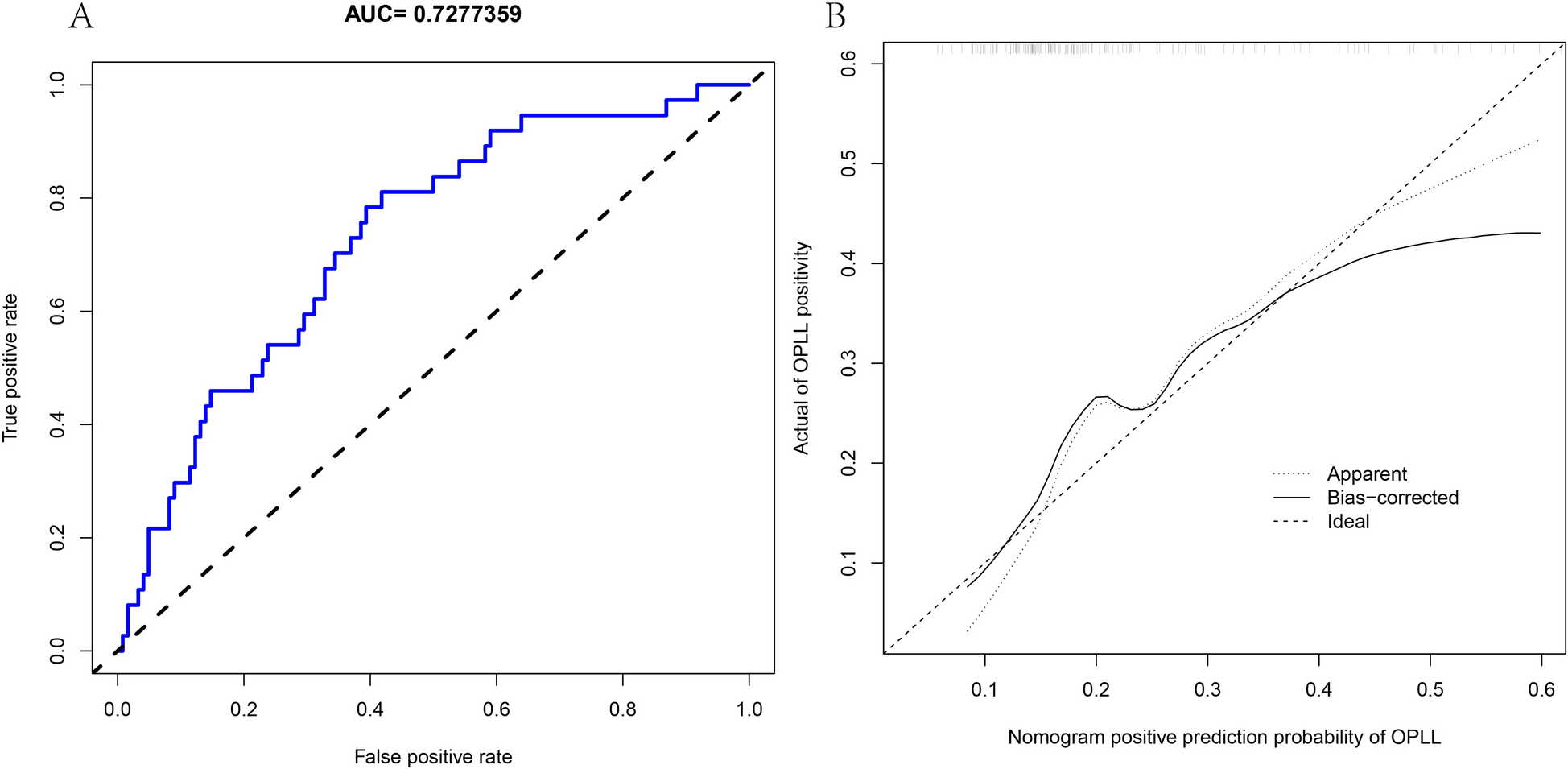
The diagnostic model was validated in the validation cohort. (A) AUC values of the diagnostic model in the validation cohort. (B) Calibration curves of the diagnostic model in the validation cohort.

The diagnostic model was validated in the validation cohort. (A) AUC values of the diagnostic model in the validation cohort. (B) Calibration curves of the diagnostic model in the validation cohort.