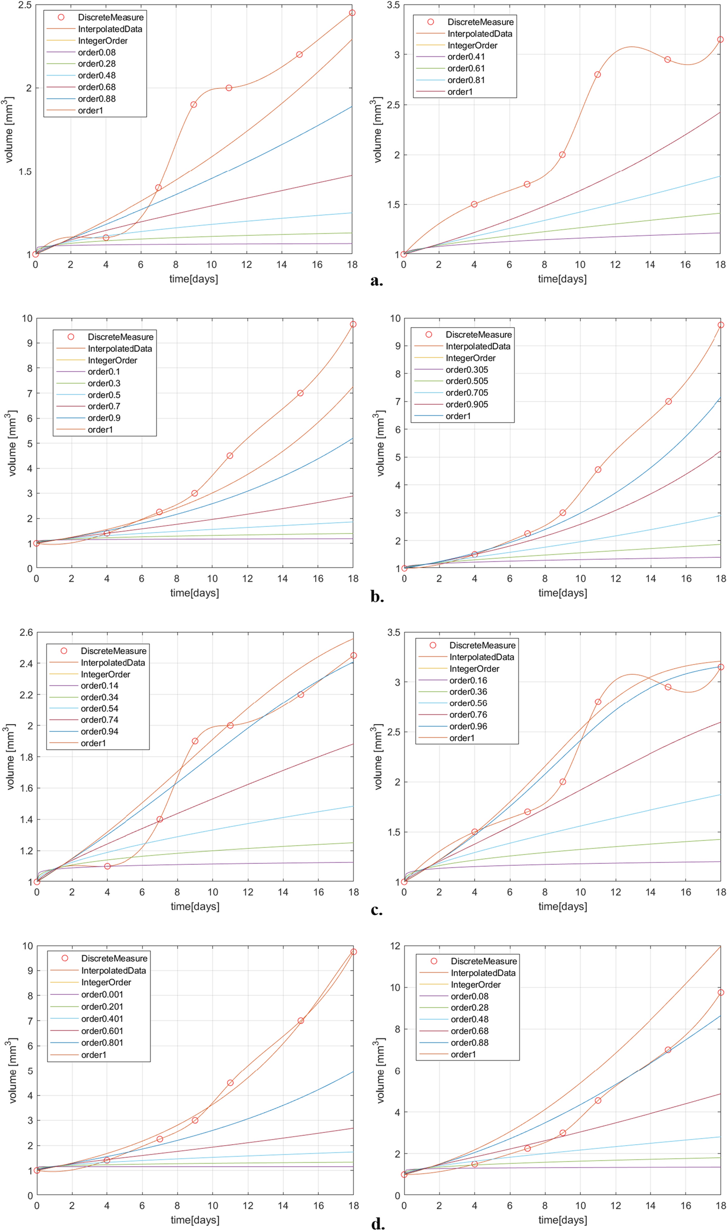
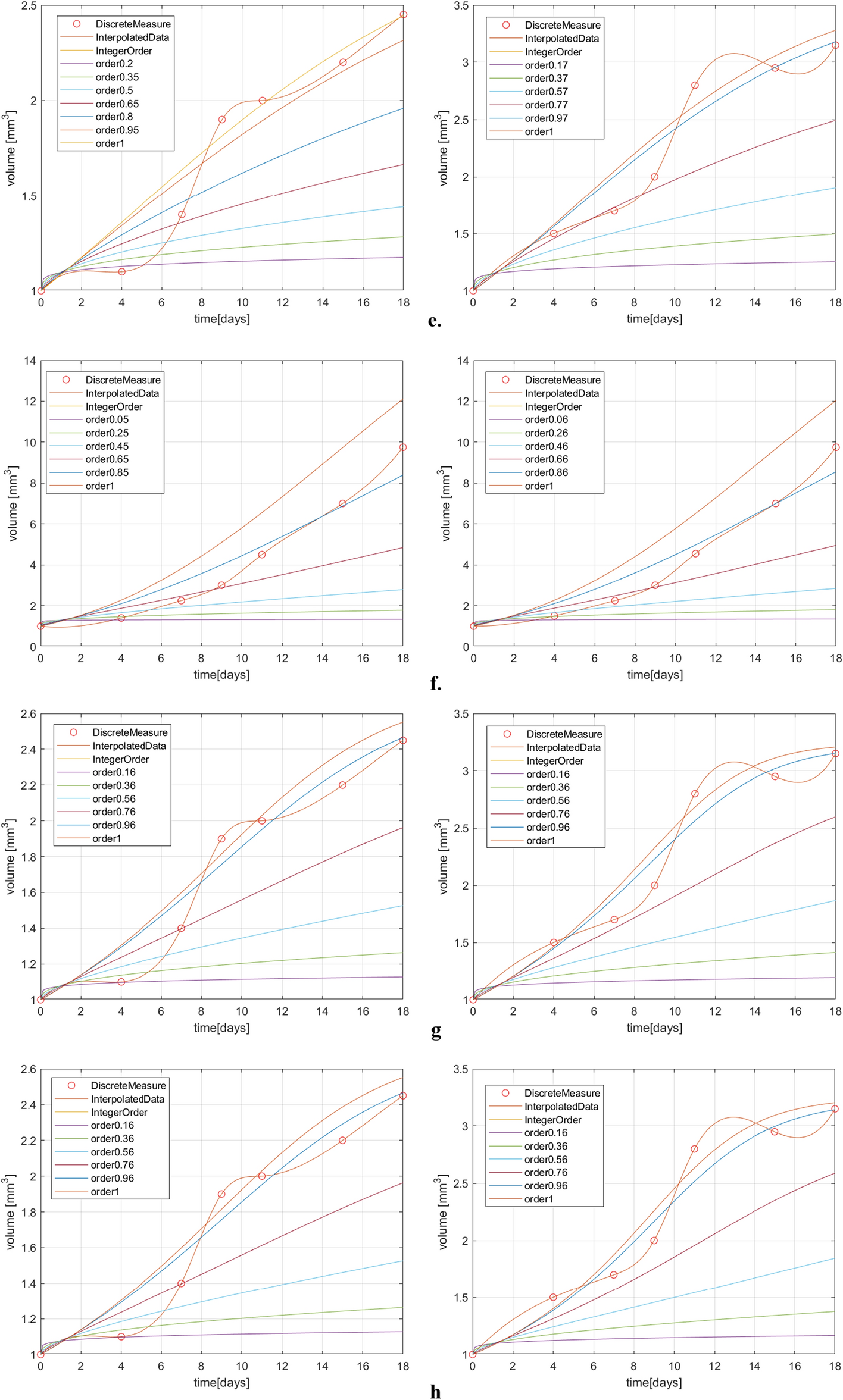
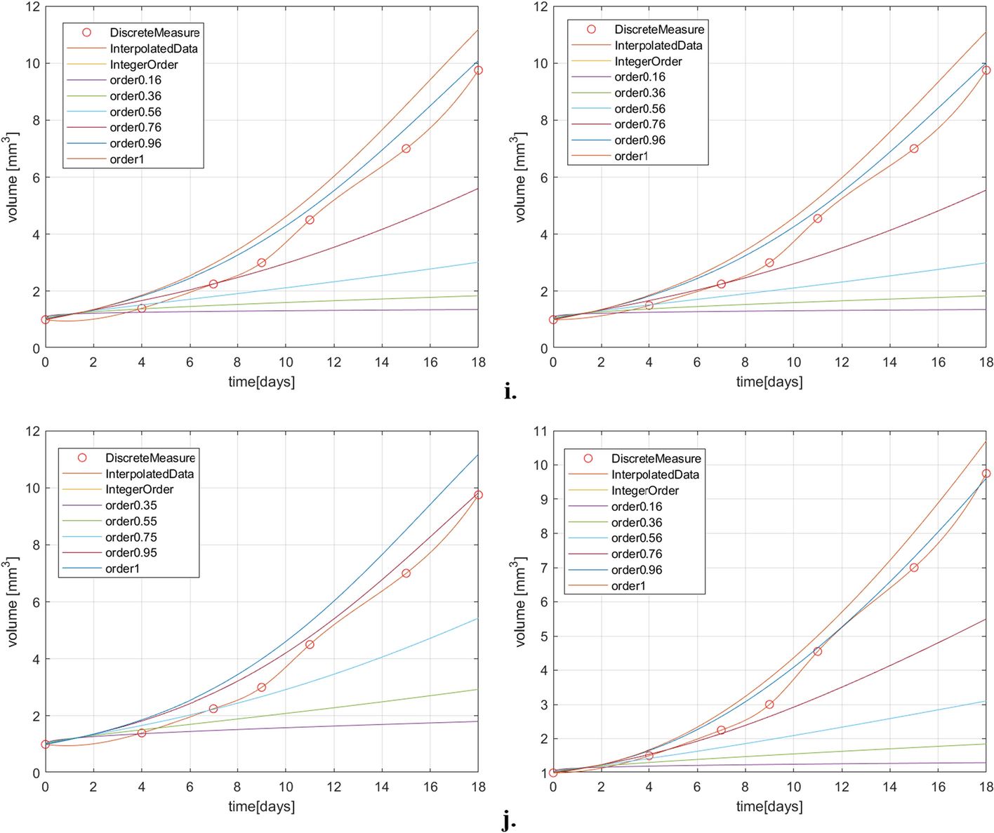
Figure 2



(a) Exponential model results for treated case; (b) Exponential model results for untreated case; (c) Logistic model results for treated case; (d) Logistic model results for untreated case; (e) Gompertz model results for treated case; (f) Gompertz model results for untreated case; (g) Generalized Bertalanffy–Pütter model results for the treated case; (h) Particularized Bertalanffy–Pütter model results for the treated case; (i) Generalized Bertalanffy–Pütter model results for the untreated case; (j) Particularized Bertalanffy–Pütter model results for the untreated case.