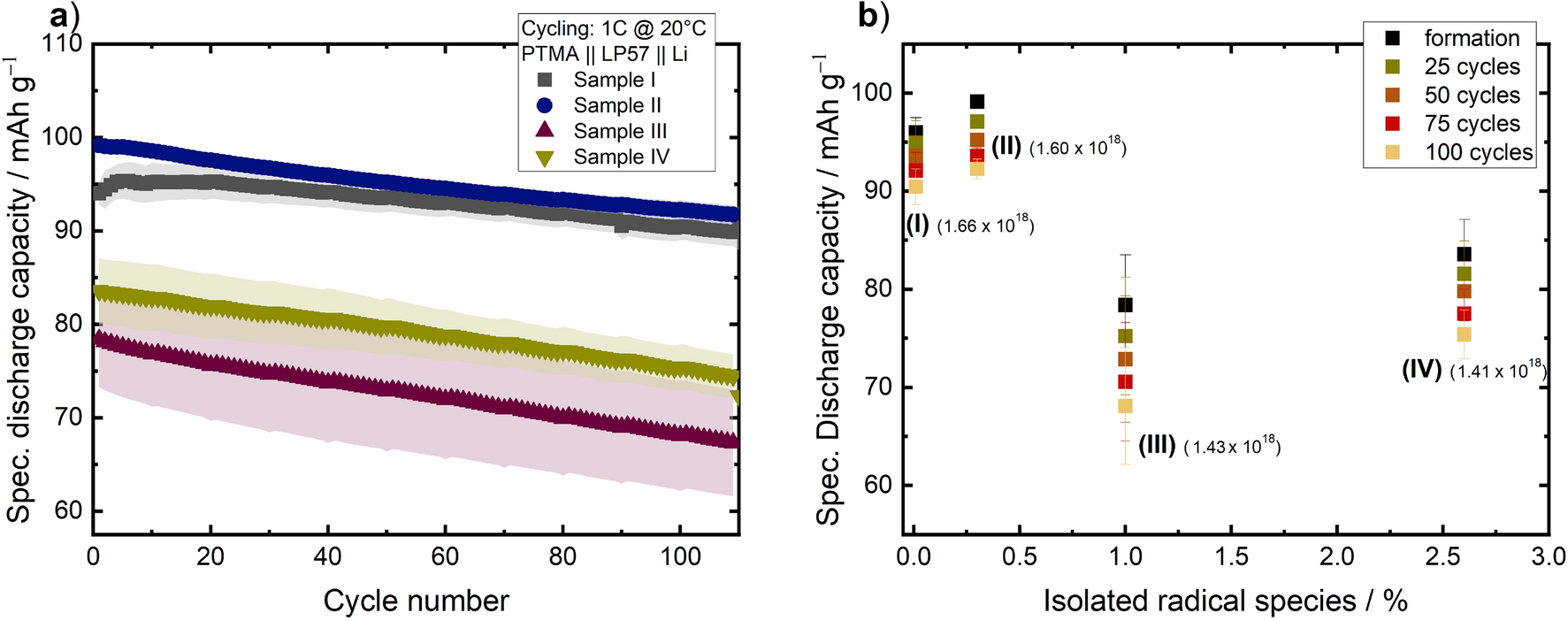
Figure 3

(a) Long-term cycling performance of \(\mathrm {PTMA \,\vert \, LP57 \,\vert \, Li}\) coin cells at 1C up to 110 cycles. The data shown are average values of five cells each. (b) Specific discharge capacity of the four investigated PTMA samples with different amounts of isolated species after the formation (black), the 25th(green), 50th (orange), 75th (red) and 100th (yellow) cycle. Values in parentheses correspond to the total number of spins per mg for each sample obtained using spin counting CW EPR experiments.