Figure 2

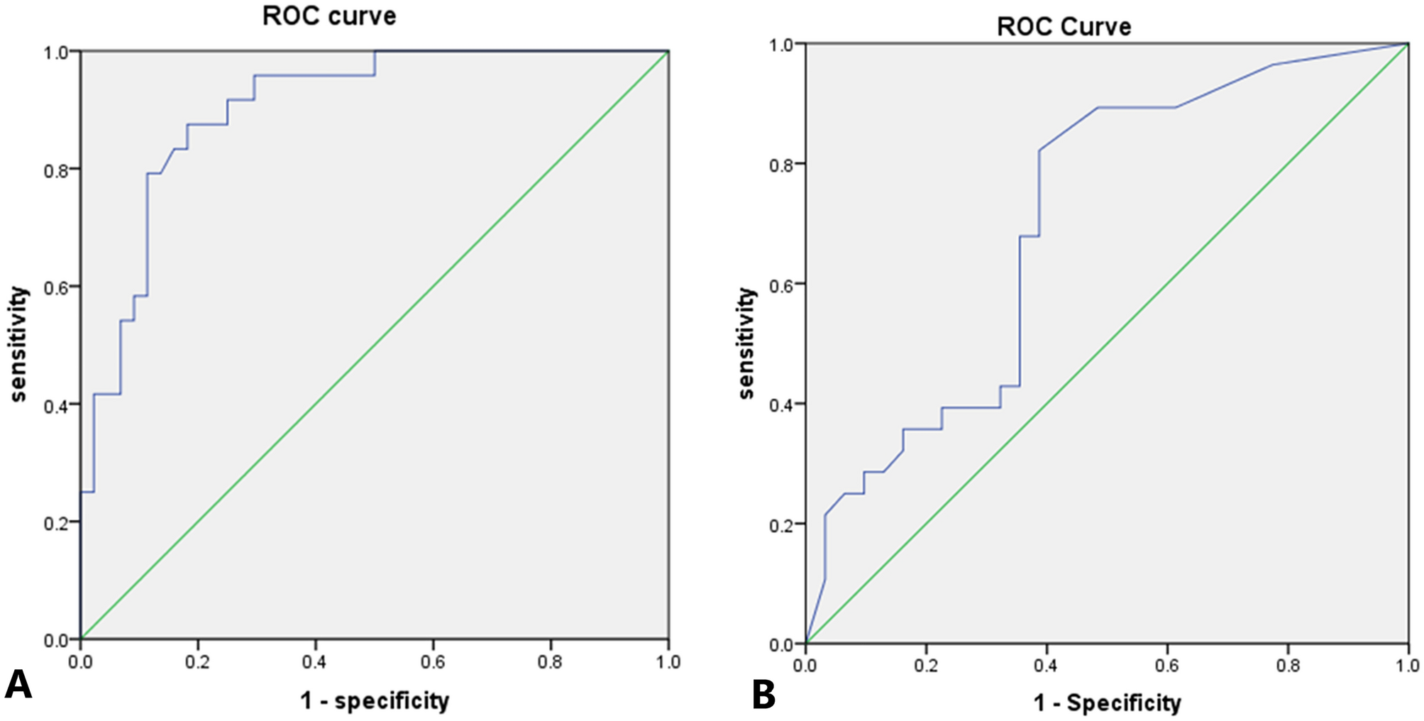
Receiver operating characteristic curve (ROC) curves for traditional statistical models. (A) Training group. (B) Testing group.

Receiver operating characteristic curve (ROC) curves for traditional statistical models. (A) Training group. (B) Testing group.