Figure 4

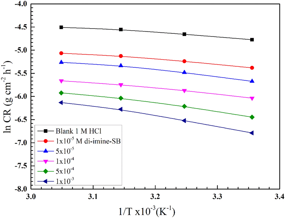
Arrhenius plots, variation of ln CR against 1/T, for X65-steel in 1 M HCl devoid of and containing various concentration of di-imine-SB compound.

Arrhenius plots, variation of ln CR against 1/T, for X65-steel in 1 M HCl devoid of and containing various concentration of di-imine-SB compound.