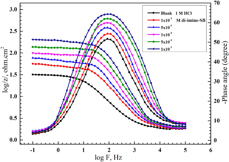
Figure 8

Bode-phase degree diagram for X65-steel in 1 M HCl in absence and presence of different concentration of di-imine-SB at 298 K.

Bode-phase degree diagram for X65-steel in 1 M HCl in absence and presence of different concentration of di-imine-SB at 298 K.