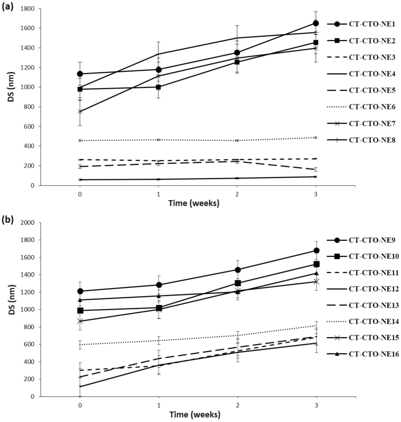
Figure 4

DS change of different CT-CTO-NEs in sodium alginate cross-linked film during 3 weeks at 4 °C; (a) final concentration of CT-CTO 0.05% w/w, (b) final concentration of CT-CTO 0.1% w/w.

DS change of different CT-CTO-NEs in sodium alginate cross-linked film during 3 weeks at 4 °C; (a) final concentration of CT-CTO 0.05% w/w, (b) final concentration of CT-CTO 0.1% w/w.