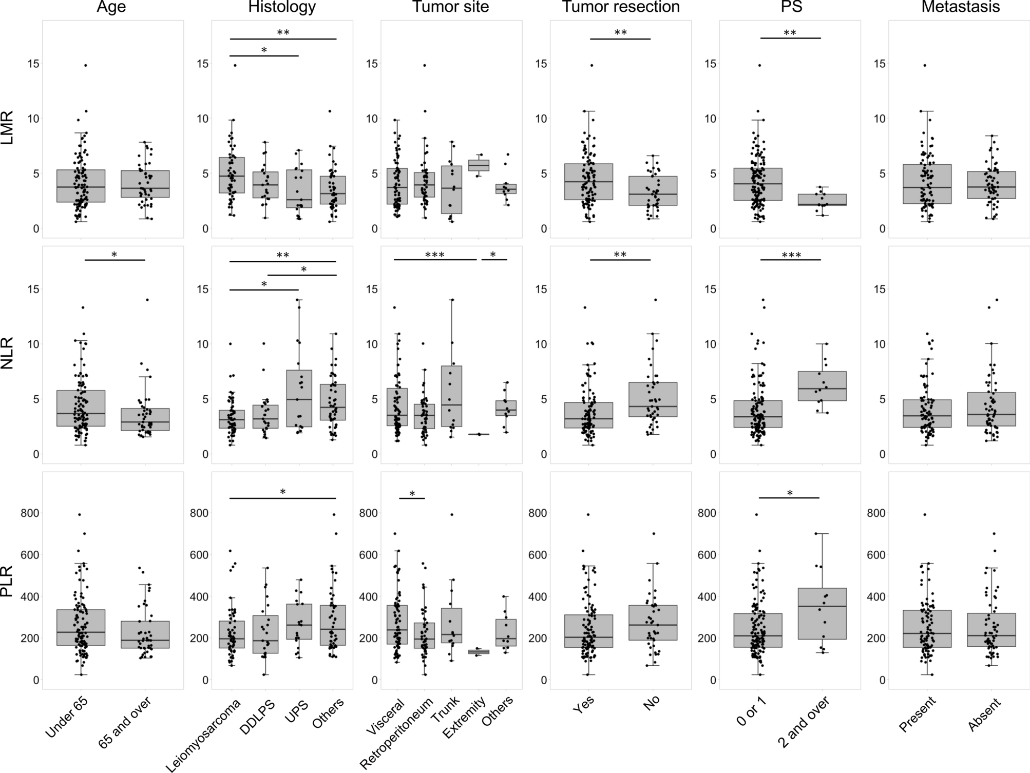
Figure 1

Variation in hematological indices among selected patient subgroups. Box plots showing indices according to age, histology, tumor site, presence of primary tumor resection, PS, and presence of metastasis. Each point on the scatter plot represents an individual patient within a specified subgroup. The overlaid box plot presents the median and interquartile range of the indices for all patients. DDLPS, dedifferentiated liposarcoma; LMR, lymphocyte-to-monocyte ratio; NLR, neutrophil-to-lymphocyte ratio; PLR, platelet-to-lymphocyte ratio; PS, performance status; UPS, undifferentiated polymorphic sarcoma. *p < 0.05; **p < 0.01; ***p < 0.001.