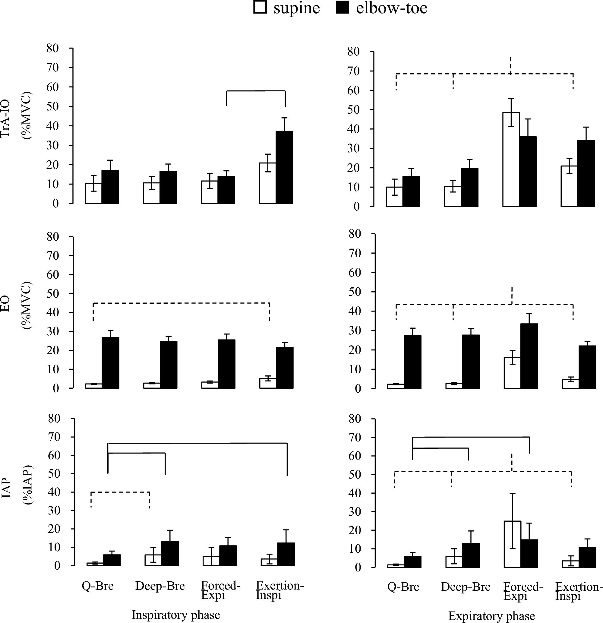
Figure 3

Mean and standard error of the mean (SEM) values for muscle activity and IAP. Dashed line (supine posture) and continuous line (elbow-toe posture): p < 0.05 (using Bonferroni testing). IAP intra-abdominal pressure, EO external oblique muscle, MVC maximum voluntary contraction, TrA-IO transverse abdominal and internal oblique muscle, Q-Bre quiet nasal breathing, Deep-Bre nasal deep breathing until abdominal wall expansion, Forced-Expi completely forced expiration with pursed-lips until the abdominal wall is hollowed, Exertion-Inspi exertional nasal inhalation with abdominal muscle isometric contraction to prevent abdominal wall expansion.