Figure 2
From: Entanglement propagation and dynamics in non-additive quantum systems

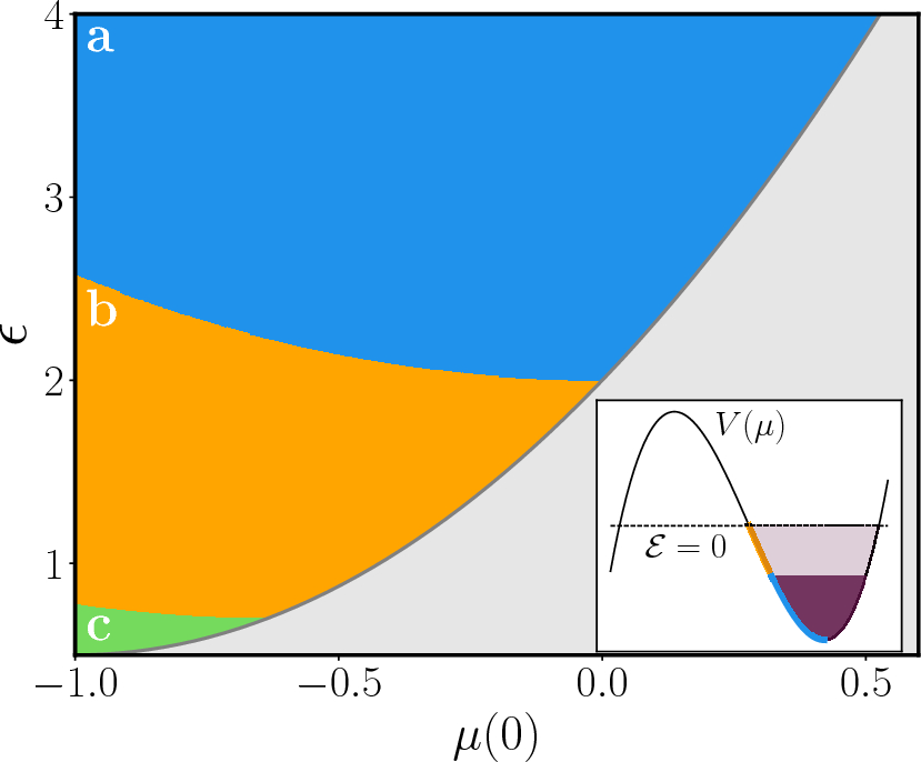
Phase diagram of the model for \(r=-1\), \(\alpha = 0.5\) as a function of the energy per particle \(\epsilon\) and the initial effective mass \(\mu (0)\), assuming \(\dot{\mu }(0) = 0\). Only the region with \(\mu (0)\) between r and the minimum of \(V(\mu )\) is shown, being all the other initial conditions nonphysical or redundant. In blue we have the resonance-free region (in which \(\mu (t)\) is periodic); in orange the region in which the mode \(k=0\) is resonant; in green the region, where multiple modes above \(k=0\) are resonant as well. Inset: the potential \(V(\mu )\) for \(\epsilon =2.25\), in which the values of \(\mu (0)\) corresponding to different phases and the relative values of the classical energy \(\mathcal {E}\), see Eq. (8), are outlined.