Figure 3
From: Entanglement propagation and dynamics in non-additive quantum systems

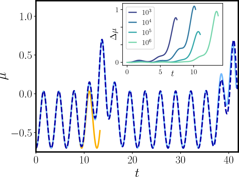
Behavior of \(\mu (t)\) with \(r=-1\), \(\lambda =1.24\), \(N=10^6\) for the initial conditions \(\mu (0) = - 0.7\), \(\dot{\mu }(0)=0\), \(\epsilon =1.2\) (dotted blue line) compared with the corresponding single-particle classical picture (continuous orange) and the two-particle one (continuous cyan line). Since for this initial conditions only the \(k=0\) mode is resonant, the latter reproduces the right evolution, while the former fails on a finite timescale. Inset: difference between \(\mu (t)\) and the single-particle picture for different values of N, showing how the time-scale on which the approximation breaks down grows as \(\log N\).