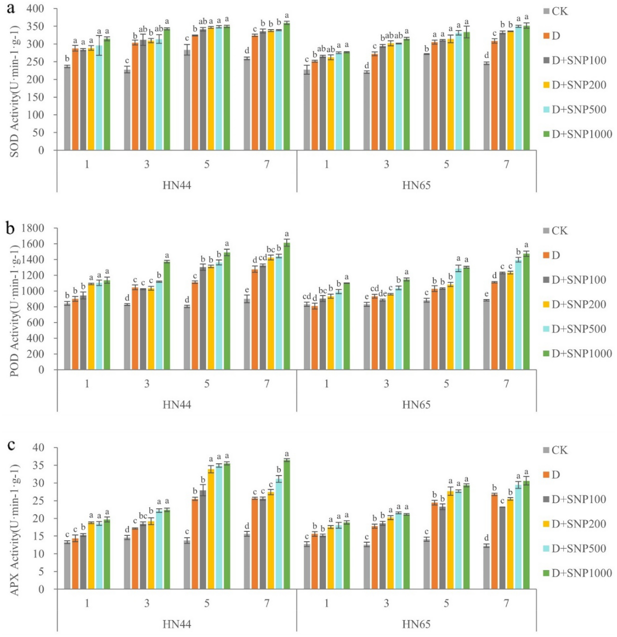
Figure 1

The different letters represent values showing a significant difference relative to the indigenous level at a 5% significance level. Changes in superoxide dismutase (SOD), peroxidase (POD), and ascorbate peroxidase (APX) activities under different sodium nitroprusside (SNP) treatments. (CK, control treatment; D, drought treatment; HN44, Hei Nong44; HN65, Hei Nong65; D + SNP100, D + SNP200, D + SNP500, and D + SNP1000, D + SNP treatment at100, 200, 500, and 1000 μmol L−1, respectively).