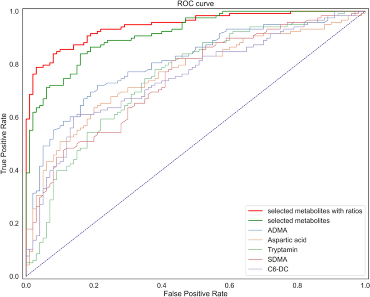
Figure 6
From: Targeted metabolomic profiling as a tool for diagnostics of patients with non-small-cell lung cancer

AUC ROC curves of the built models and individual metabolites. The ML model consisting of the selected significantly altered metabolites and significant ratios provides the best AUC value.