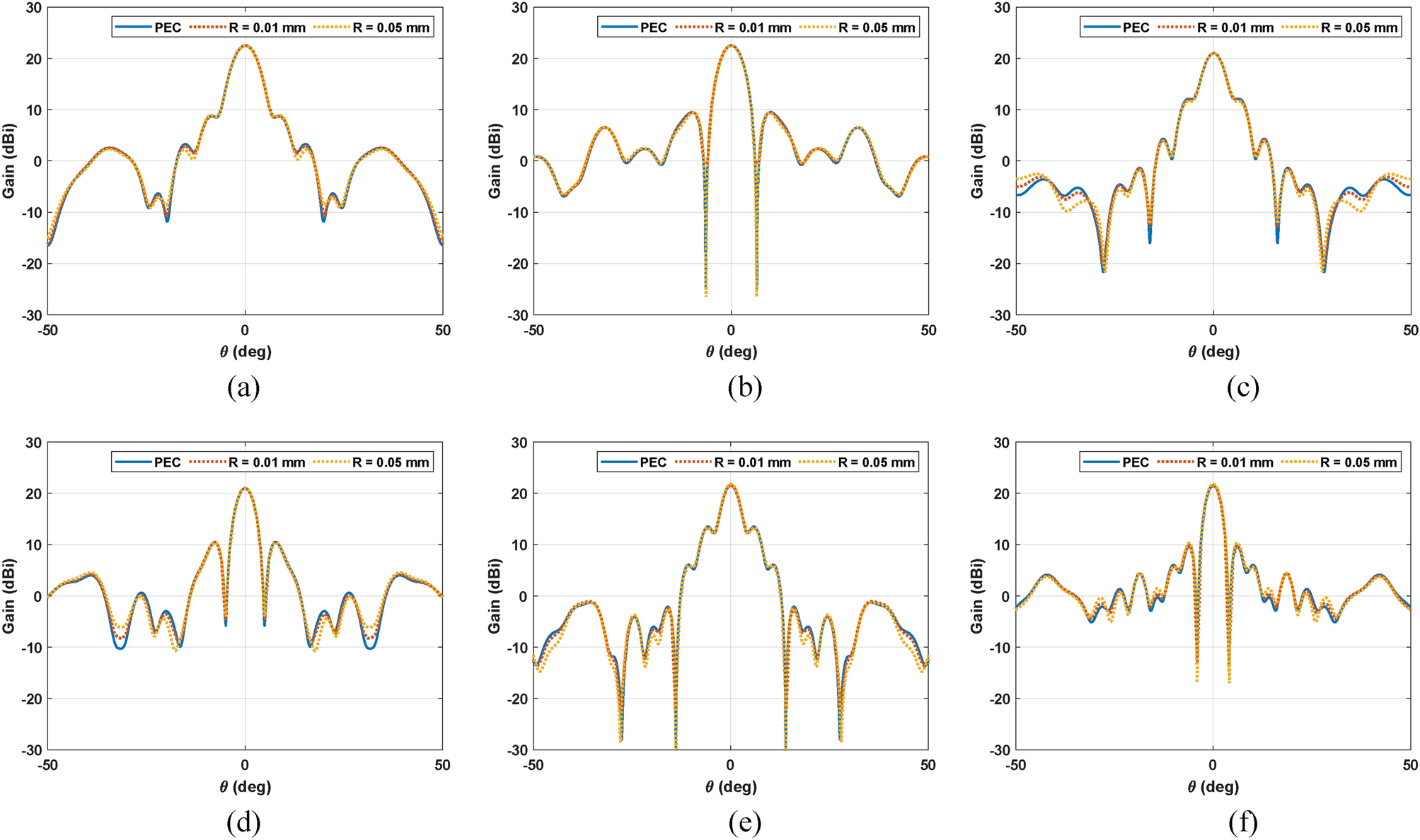
Figure 5
From: Additive manufacturing in compact high-gain wideband antennas operating in mm-wave frequencies

Simulated gain considering PEC and roughness (\(0.01\) and \(0.05 \mathrm{mm}\)) at (a,d) \(28 \mathrm{GHz}\), (b,e) \(34 \mathrm{GHz}\) and (c,f) \(39 \mathrm{GHz}\) in the main planes (a–c) \(\phi =0^\circ\) (d–f) \(\phi =90^\circ\).