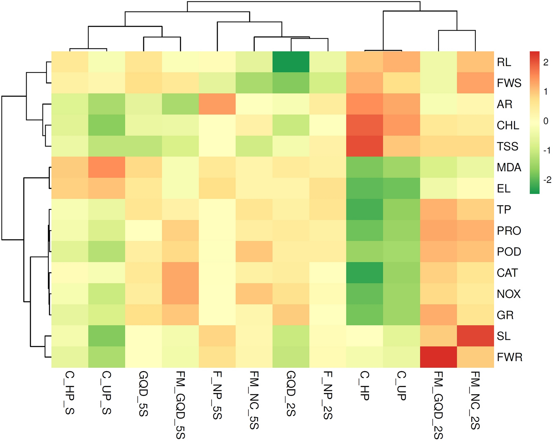
Figure 16

Heatmap analysis of different treatment solution and variables under study (SL shoot length, RL root length, AR number of adventitious root, FWR fresh weight of root, FWS fresh weight of shoot, CHL chlorophyll content, TSS total soluble sugar content, TP total phenol content, PRO proline content, MDA malondialdehyde content, EL electrolyte leakage percentage, CAT catalase activity, POD peroxidase activity, NOX NADPH Oxidase activity, GR glutathione reductase activity).