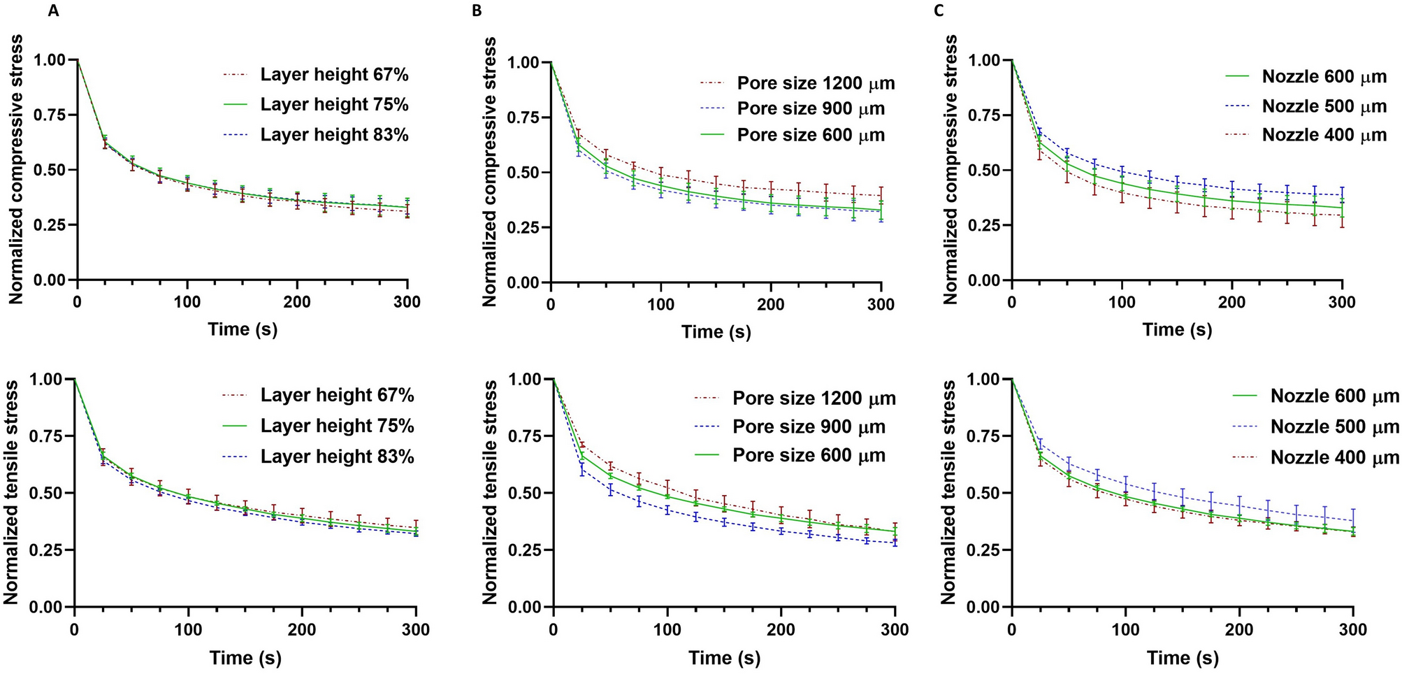
Figure 12
From: Multilayer 3D bioprinting and complex mechanical properties of alginate-gelatin mesostructures

The effect of layer height (A), pore size (B), and nozzle size (C) on the relaxation behavior of different printed structures (n=5) in compression (top row) and tension (bottom row).