Figure 3

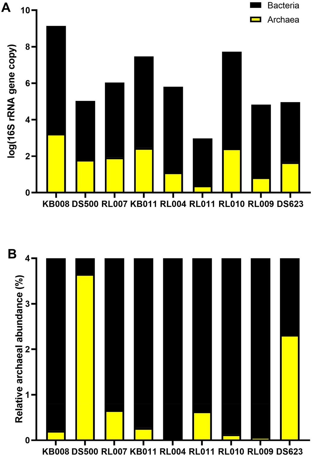
Quantification of human urogenital tract archaea. (A) The estimated logarithmic 16S rRNA gene copy numbers of archaea and bacteria. (B) Percent urogenital tract archaeal abundance per sum of abundances of archaea and bacteria.

Quantification of human urogenital tract archaea. (A) The estimated logarithmic 16S rRNA gene copy numbers of archaea and bacteria. (B) Percent urogenital tract archaeal abundance per sum of abundances of archaea and bacteria.