Figure 2
From: Quantum secure metrology for network sensing-based applications

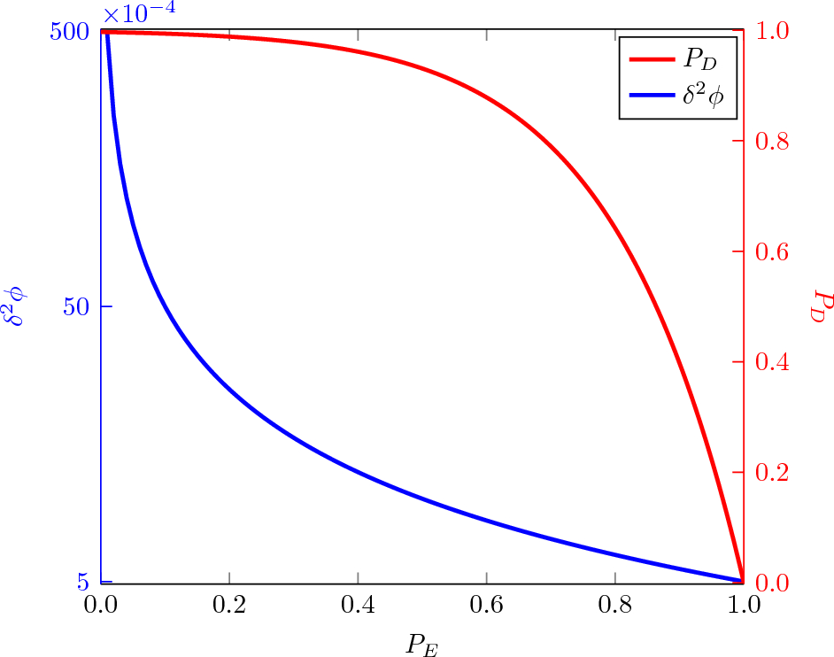
Probability of detecting Eve \(P_D\) and variance of estimand parameter \(\delta ^2 \phi\) compared with encoding probability \(P_E\). Increasing \(P_E\) results in increased precision, but at the expense of security of the protocol.