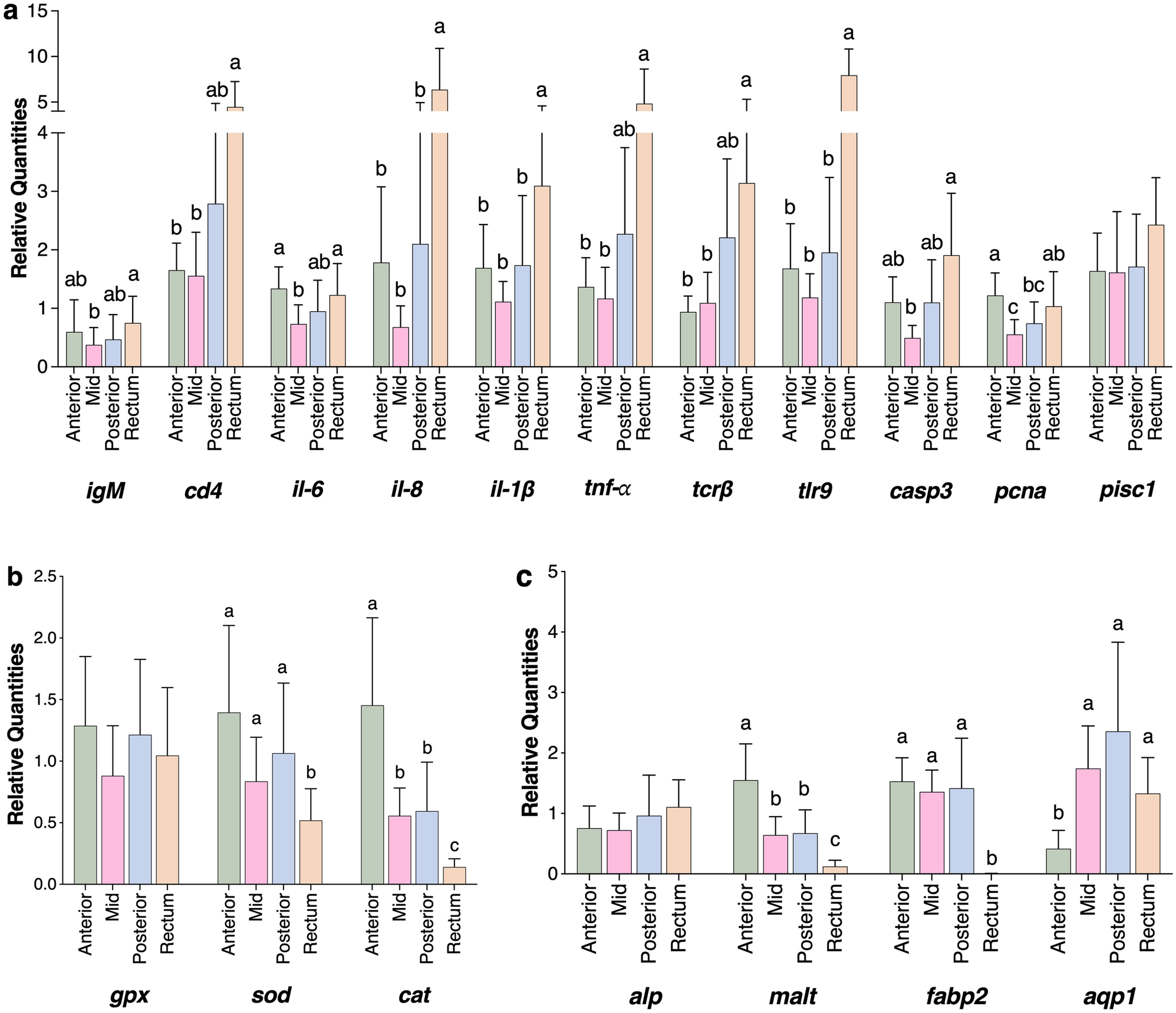
Figure 3

Gene expression in the different sections of the intestine of European seabass juveniles. (a) Immune-related genes; (b) genes associated with oxidative stress genes; and (c) genes related to nutrient digestion and absorption. Relative quantities in the intestine are presented as mean ± SD (n = 16 samples per section). One-way ANOVA followed by Tukey's multiple comparison test was performed, and different letters above the bars denote significant differences between intestinal sections.