Figure 5
From: Lithium concentration in tap water, bottled mineral water, and Danube River water in Hungary

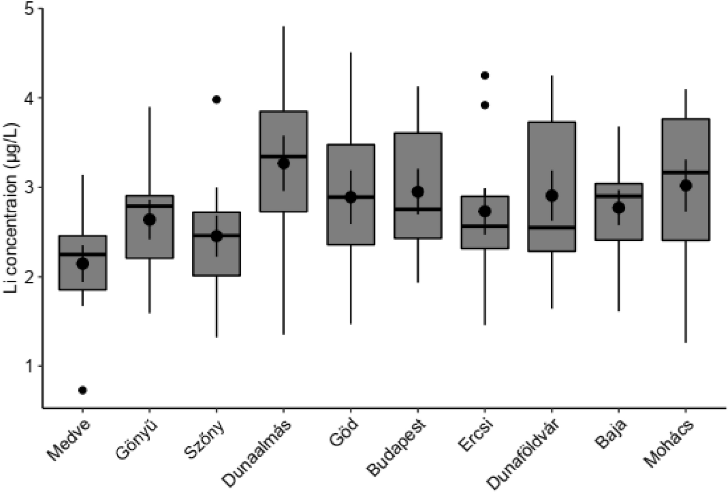
Mean + SE (dot and vertical lines within the boxes) and median (horizontal bold lines within the boxes) lithium concentrations determined in the Hungarian segment of the Danube at ten sampling sites during the time period Sept. 2021–Sept. 2022. Sampling locations are arranged from left to right following the direction of the river’s flow.