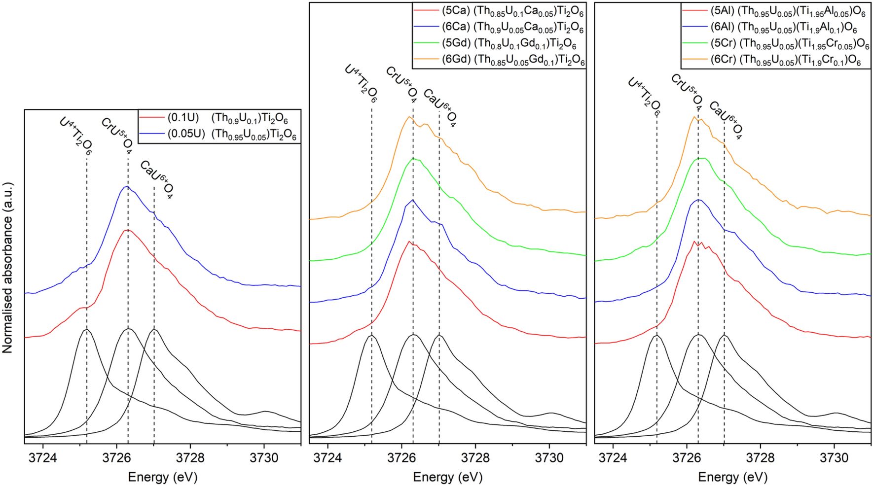
Figure 4

HERFD U M4 edge XANES of ThTi2O6 compositions, adopting the brannerite structure, targeting U5+ and U6+ incorporation with appropriate charge compensation (see Table 1). The spectra of U4+Ti2O6, CrU5+O4 and CaU6+O4 reference compounds are included for comparison. The average U oxidation states determined from LCF and ITFA are detailed in Table 2.