Figure 3
From: Exploring the benefits of inoculated cowpeas under different climatic conditions in Namibia

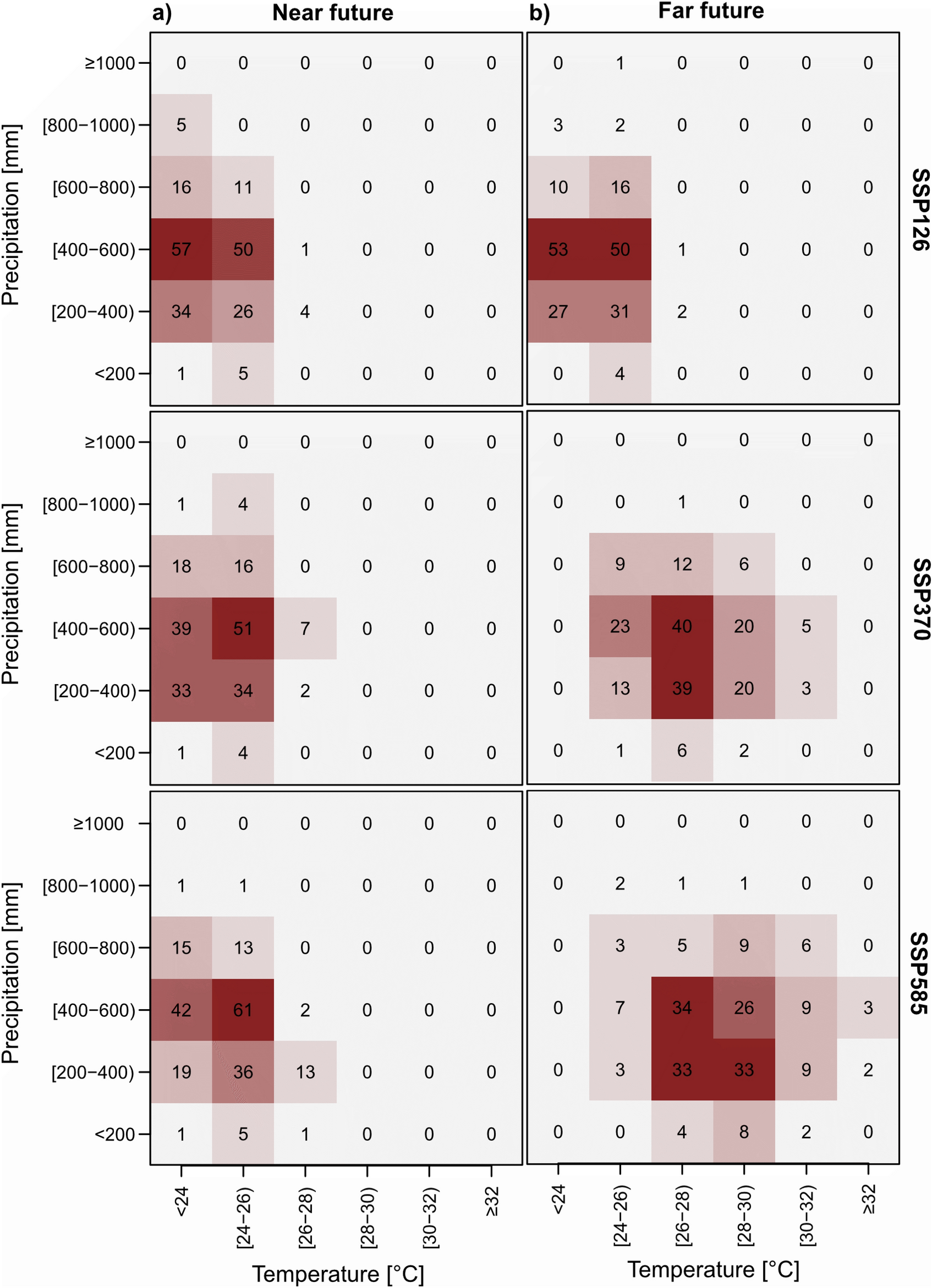
Change in precipitation and temperature from (a) the near (2030–2050) to (b) the far (2080–2100) future for SSPs 126, 370, and 585. The total data pool for each grid consists of 210 observations: 21 years, five GCM models and two sites (Ogongo, Mashare). Each raster cell shows the number of instances observed for the combination of temperature and precipitation class.