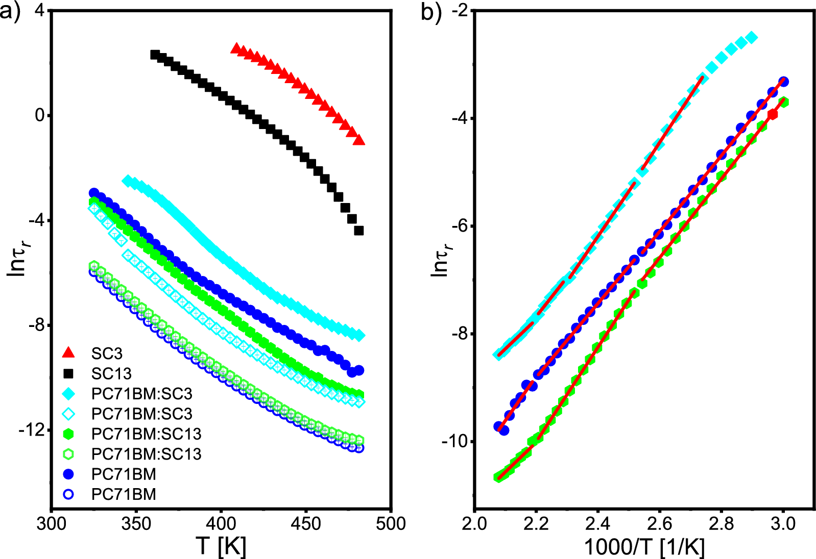
Figure 14
From: A new look at imines and their mixture with PC71BM for organic, flexible photovoltaics

Temperature dependence of the relaxation time for all processes registered in the studied system (a) and Arrhenius plot for low-frequency process registered in systems based on PC71BM. Solid lines in (b) are results of fitting Arrhenius equation to the temperature dependence of relaxation time (Eq. 4).