Figure 16
From: A new look at imines and their mixture with PC71BM for organic, flexible photovoltaics

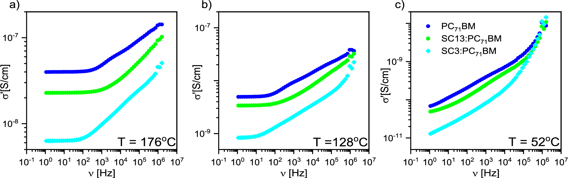
Frequency dependence of the conductivity at chosen temperature: (a) 176 °C, (b) 128 °C, (c) 52 °C.
From: A new look at imines and their mixture with PC71BM for organic, flexible photovoltaics

Frequency dependence of the conductivity at chosen temperature: (a) 176 °C, (b) 128 °C, (c) 52 °C.