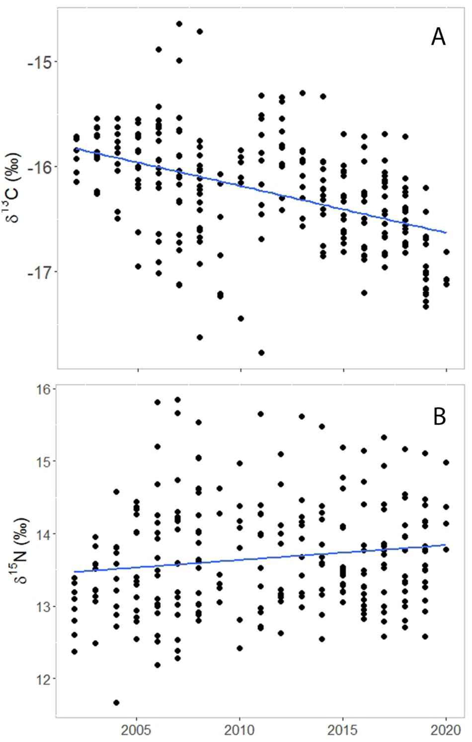
Figure 4

Stable isotope profiles in ringed seals harvested along the Labrador coast revealed that (A) δ13C decreased (p < 0.0001; R2 = 0.21) and (B) δ15N increased (p = 0.02; R2 = 0.02) between 2002 and 2020, indicating that seals have shifted to feeding more pelagically and at a higher trophic position over the study period.