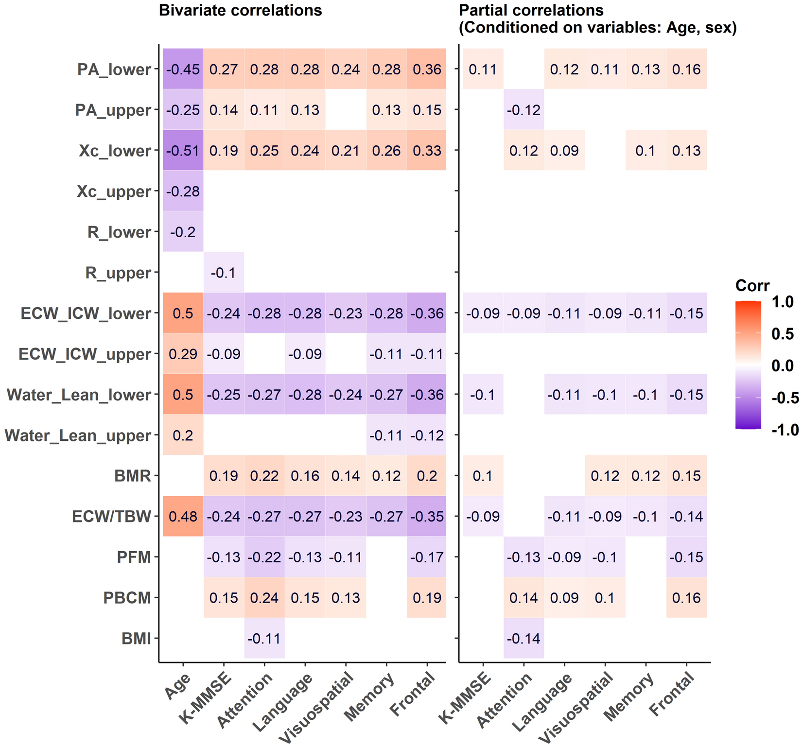
Figure 3

Correlations between the selected BIA variables and neuropsychological tests before and after controlling for age and sex. Empty cells: insignificant correlation coefficients (p value > 0.05).

Correlations between the selected BIA variables and neuropsychological tests before and after controlling for age and sex. Empty cells: insignificant correlation coefficients (p value > 0.05).