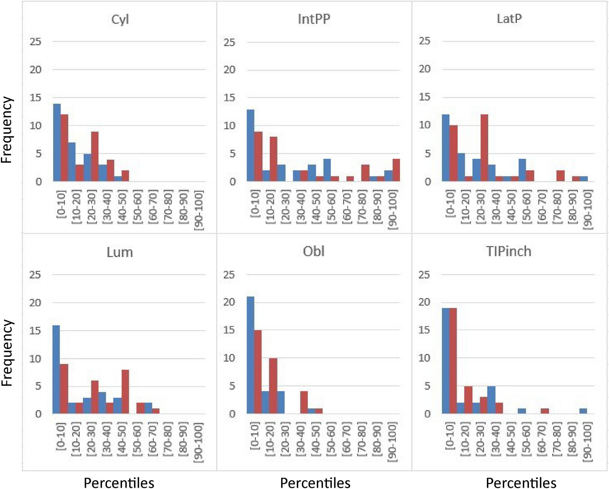
Figure 3
From: Impact of hand osteoarthritis in women on maximal forces in six different grasp types

Histogram of the percentiles of force per grasp and hand (blue right hand, red left hand) of the patients belonging to sample H_w. Grasp types abbreviations are explained in the caption of Table 1.