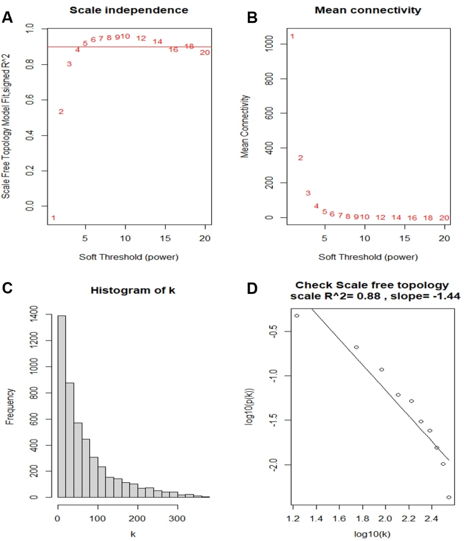
Figure 1

Calculation of soft threshold power in the WGCNA. (A). Analysis of the scale-free fit index for various soft threshold powers. (B). Analysis of the mean connectivity for various soft threshold powers. (C) Histogram of connectivity distribution (β = 4). (D) Checking the scale-free topology (β = 4). k: connectivity; p(k): possibility of the connectivity. WGCNA weighted gene co-expression network analysis.