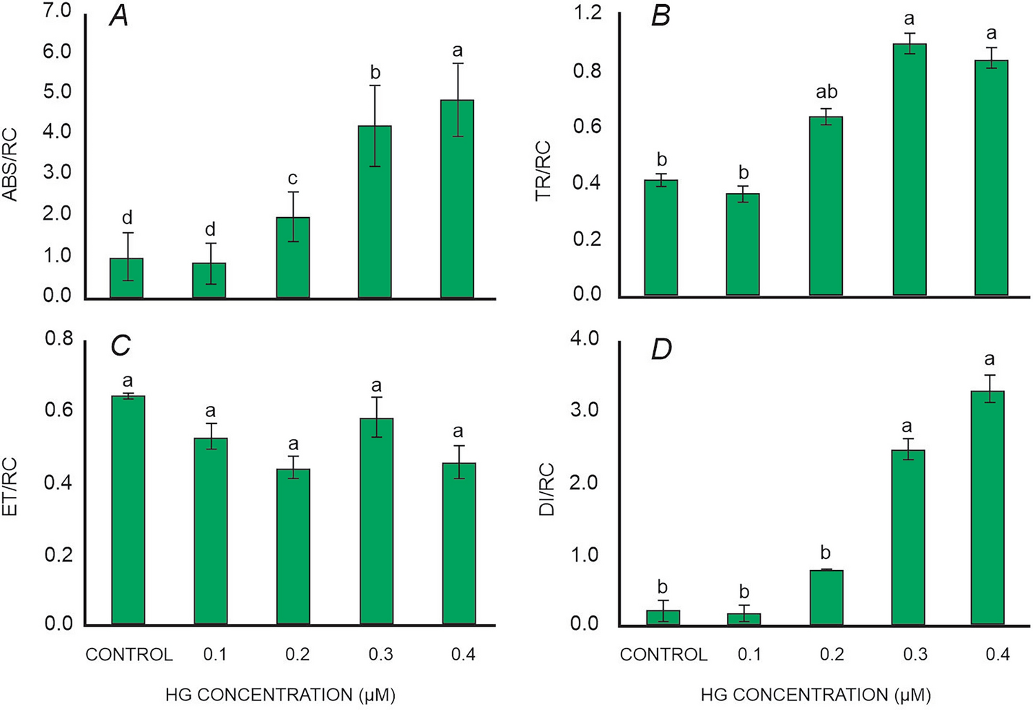
Figure 2
From: Impact of mercury on photosynthetic performance of Lemna minor: a chlorophyll fluorescence analysis

(A) Absorption per reaction center (ABS/RC), (B) trapped energy per reaction center (TR/RC), (C) electron transport per reaction center (ET/RC), (D) dissipation per reaction center (DI/RC) of L. minor exposed to various concentration of mercury. Values presented are the average of three replicates, and standard errors are represented by error bars. Different characters indicate significant differences among the results (p ≤ 0.05).