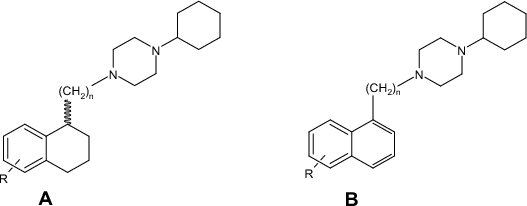
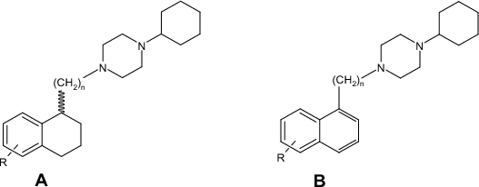
Table 1 S1R/S2R affinities and anti-SARS-CoV-2 activity of a first set of PB28 analogs.
General structure of PB28 and its analogs | ||||||
|---|---|---|---|---|---|---|
Compound | A or B | R | n | AKi nM S1R | BKi nM S2R | CIC50 (μM) SARS-CoV-2 |
PB2839 | A | 5-OCH3 | 3 | 0.38 | 0.68 | 0.299 |
(-)-R-PB2839 | A | 5-OCH3 | 3 | 0.63 | 0.49 | 0.309 |
( +)-S-PB2839 | A | 5-OCH3 | 3 | 0.13 | 1.18 | 0.455 |
140 | A | 5-OCH3 | 0 | 0.40 | 7.90 | NOT ACTIVE |
240 | A | 5-OCH3 | 1 | 0.31 | 16.4 | 5.90 |
340 | A | 5-OCH3 | 2 | 1.57 | 21.1 | 12.57 |
440 | A | 5-OCH3 | 4 | 1.54 | 3.58 | 0.320 |
540 | A | 5-OCH3 | 5 | 1.52 | 0.35 | 0.19 |
6 | A | 5-OCH3 | 6 | 3.07 | 103 | 1.32 |
740 | A | H | 3 | 0.61 | 0.68 | 0.438 |
840 | A | H | 4 | 0.036 | 14.6 | 0.317 |
940 | A | H | 5 | 1.45 | 7.85 | 0.19 |
1040 | A | 6-OCH3 | 3 | 0.36 | 5.42 | 0.47 |
1140 | B | H | 3 | 2.16 | 0.69 | 0.94 |
1240 | B | H | 5 | 2.40 | 0.57 | 0.52 |
1340 | B | 5-OCH3 | 3 | 1.57 | 9.24 | 0.306 |
1441 | B | 6-OCH3 | 3 | 3.16 | 9.02 | NOT ACTIVE |
1541 | A | 5-OH | 3 | 5.40 | 2.66 | NOT ACTIVE |
1641 | A | 6-OH | 3 | 0.69 | 1.12 | NOT ACTIVE |
1741 | B | 6-OH | 3 | 6.78 | 26.4 | NOT ACTIVE |
1841 | B | 7-OH | 3 | 5.48 | 11.8 | NOT ACTIVE |
