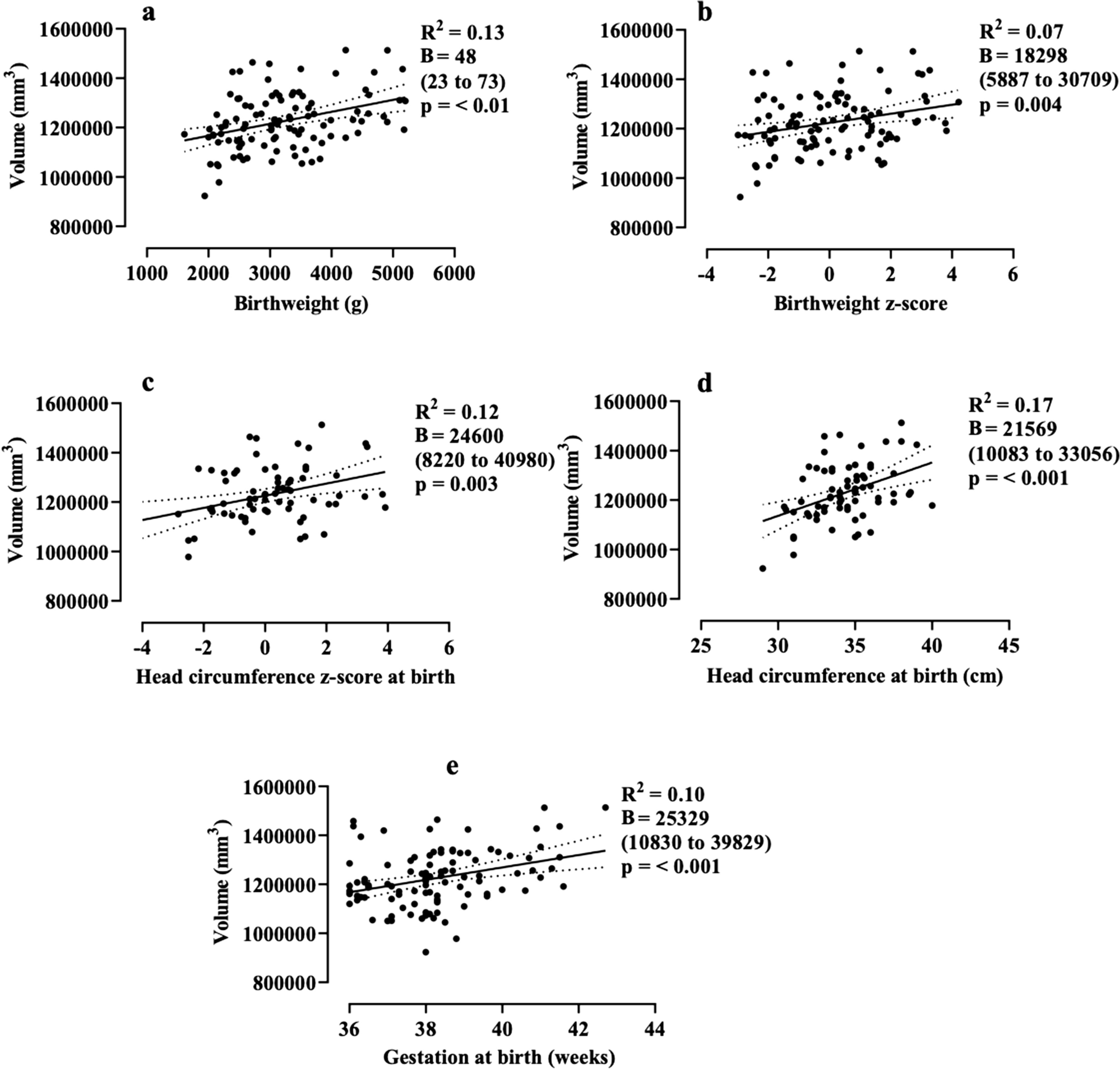
Figure 1

Relationship between birthweight (a,b), head circumference at birth (c,d), and gestation at birth (e), and total brain volume at 9 to 10 years of age. Data are linear regressions with 95% confidence intervals shown as dotted lines. B = absolute beta coefficient (95% confidence interval).