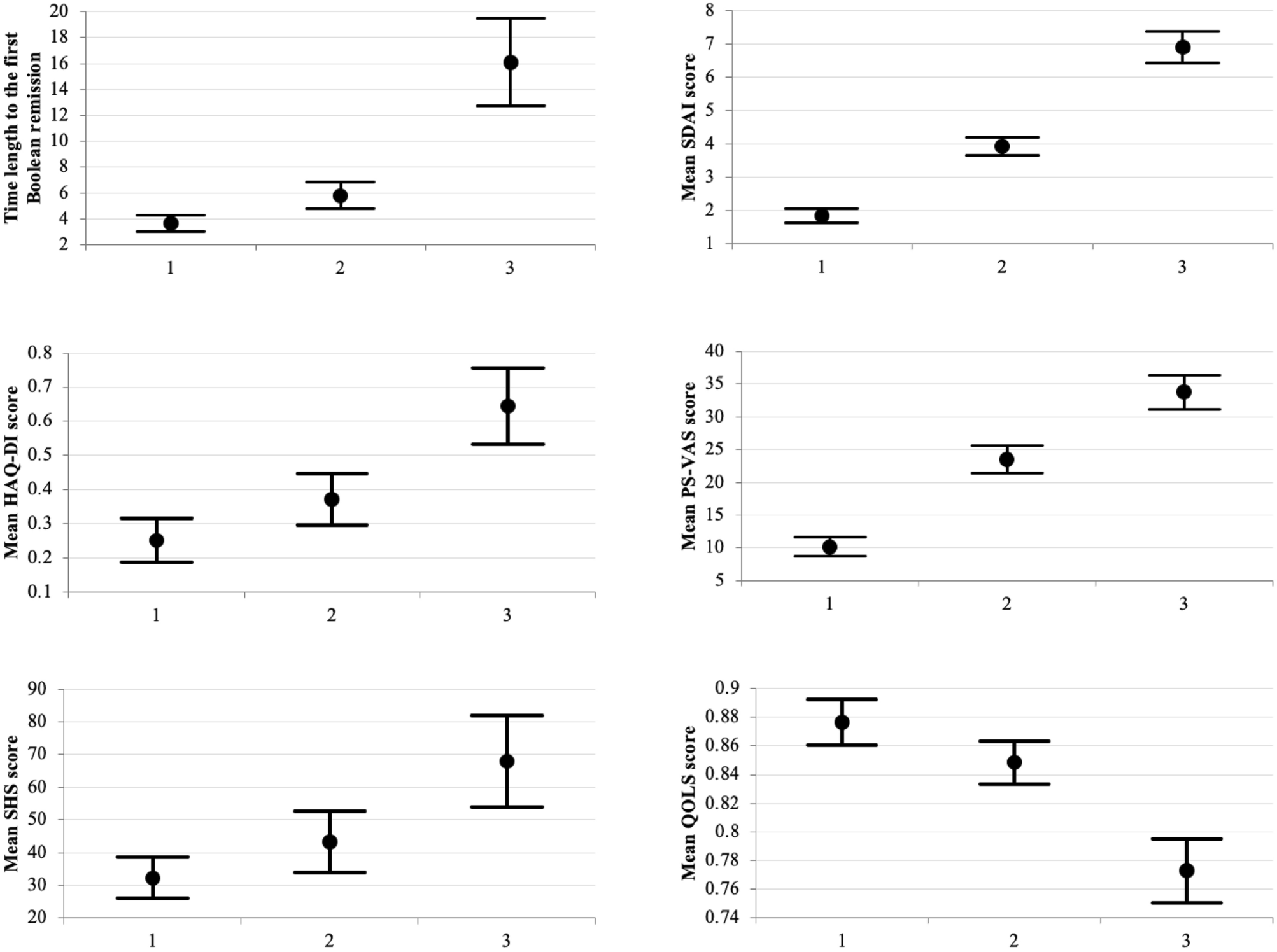
Figure 4

Comparison among Boolean remission rate groups. (1) a patient group whose Boolean remission rate was 60% or more; (2) a patient group whose Boolean remission rate was less than 60% and 30% or more; (3) a patient group whose Boolean remission rate was less than 30%. Error bars represent 95% confidence interval (95% CI). Every parameter in the group 3 demonstrated significantly worse results than those in the other two groups.