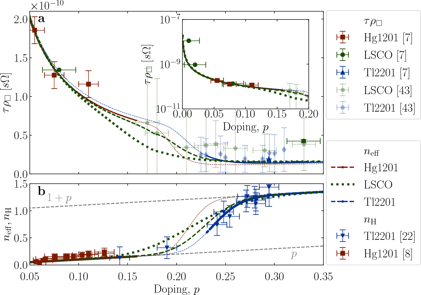
Figure 4
From: Transport properties and doping evolution of the Fermi surface in cuprates

Calculated versus measured resistivity and carrier density. (a) To facilitate the comparison between calculated (lines) and measured sheet resistance (\(\rho _{\Box }\sim A_2T^2\) – (opaque symbols)7 or in the crossover regime \(\rho _{\Box }\sim A_1T^1 + A_2T^2\) – (shaded symbols)43) a temperature independent quantity \(\tau \rho _{\Box } \sim A_2/C_2\) is displayed, as a function of doping, for all three discussed compounds (see the Methods Section "Comparison with experimental data: resistivity" for details). Dashed and dotted lines for LSCO correspond to calculations with the same \(f_g\) as presented by dashed and dotted lines in Fig. 3b. The inset shows an extended doping range to \(p=0\) on a logarithmic scale for clarity. A small kink in the calculated doping dependence for LSCO at \(p\sim 0.18\) (dashed line) coincides with the Lifshitz-transition of the underlying FS. (b) Full and dashed lines show \(n_{\text{eff}}\) as inferred from resistivity measurements, which is the only input parameter for the performed calculation. In case of LSCO, an additional dotted line indicates \(n_{\text{eff}}\) obtained by adjusting \(f_g\) (i.e., arc-length) for a better fit of the Hall data. For Hg1201 and Tl2201 \(n_{\text{eff}}\) (lines) and \(n_{\text{H}}\) (symbols) coincide. This is not the case for LSCO, where \(n_{\text{H}}\) diverges at the Lifshitz transition. However, \(n_{\text{eff}}\) shows a similarly smooth crossover in LSCO as it does in Hg1201 and Tl2201. The calculated \(\sigma _{xx}\) [Eq. (3)] strongly depends on \(v_F\), whose value is usually not controlled in tight-binding fits to ARPES data. Therefore, normalization factors \(f_{\text{norm}}\) have been applied to \(\tau \rho _{\Box }\) of LSCO and Tl2201. The details of this normalization are in Supplementary Information 2.