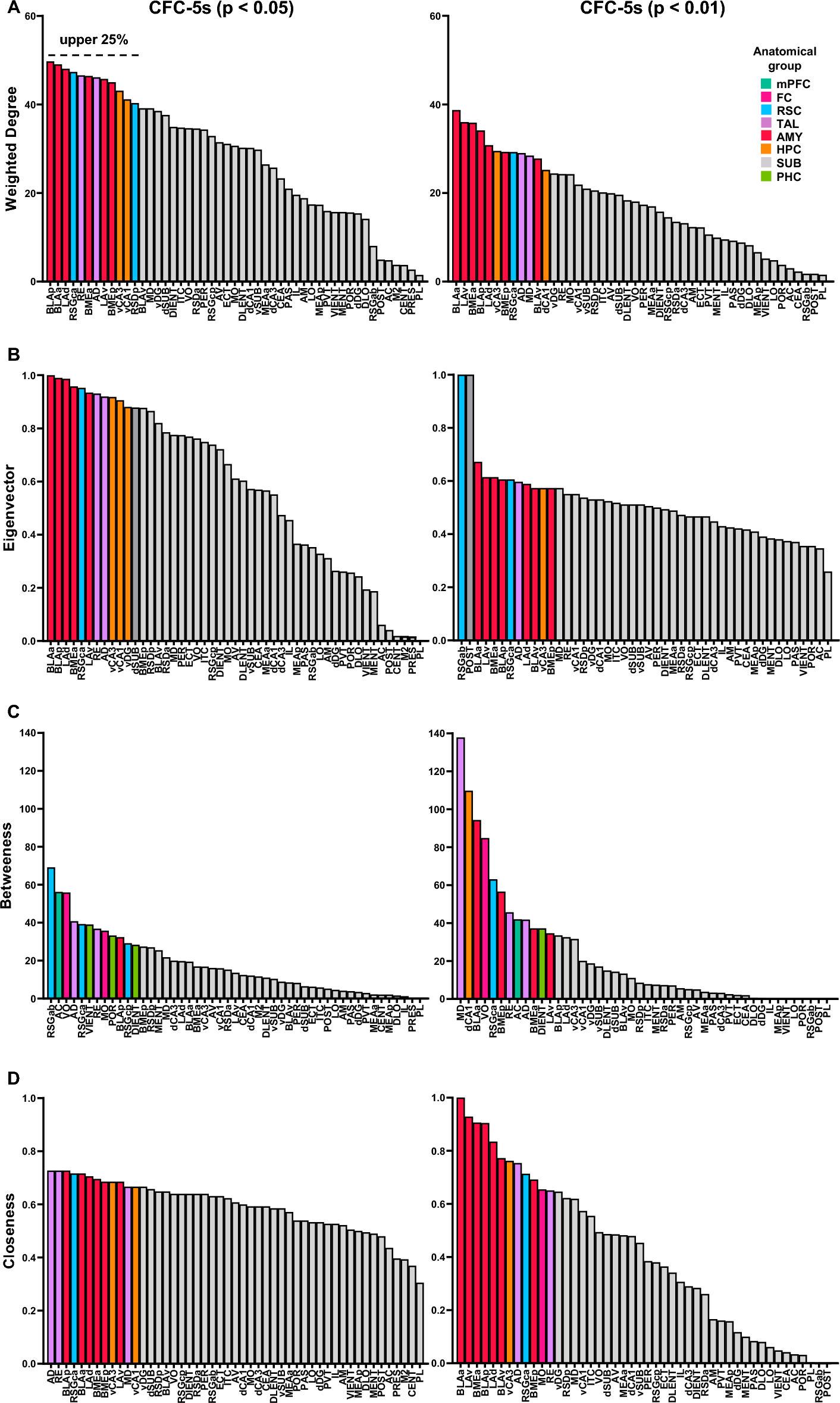
Figure 5

Brain regions ranked by their values in the centrality measures in the CFC-5s functional networks. Ranking for the weighted degree (A), eigenvector (B), betweenness (C), and closeness (D) in the CFC-5s functional networks using p < 0.05 (left) or p < 0.01 (right) thresholds. Colored bars represent the upper 25% of the brain regions, considered high centrality nodes. Colors reflect the anatomical group the brain region belongs (scale, right). CFC-5s: contextual fear conditioning with a 5-s interval. See brain regions ranked by their values in the centrality measures in the CFC functional networks in Supplementary Figure S2.