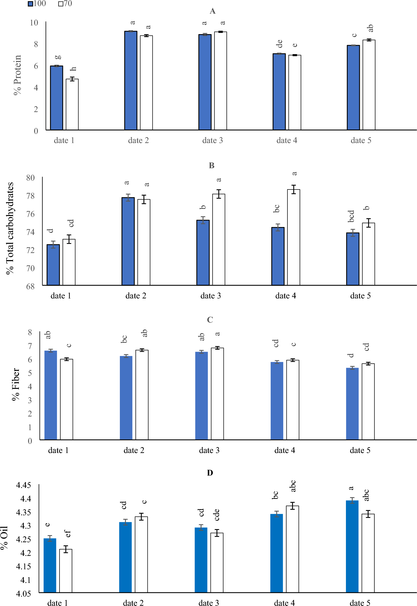
Figure 4

The interactive impact of sowing dates and irrigation levels on protein (A), total carbohydrates (B), fiber (C), and oil contents (D) in maize seeds. Vertical bars represent ± standard error (SE) of the means (n = 5). Bars with different letters are statistically significant at p ≤ 0.05. Abbreviations: date 1 (February); date 2 (March); date 3 (April); date 4 (August) date 5 (September) IR100% (applying 100% of irrigation water requirements- represent full irrigation level); IR 70% (applying 70% of irrigation water requirements—represent limited irrigation level).