Figure 3

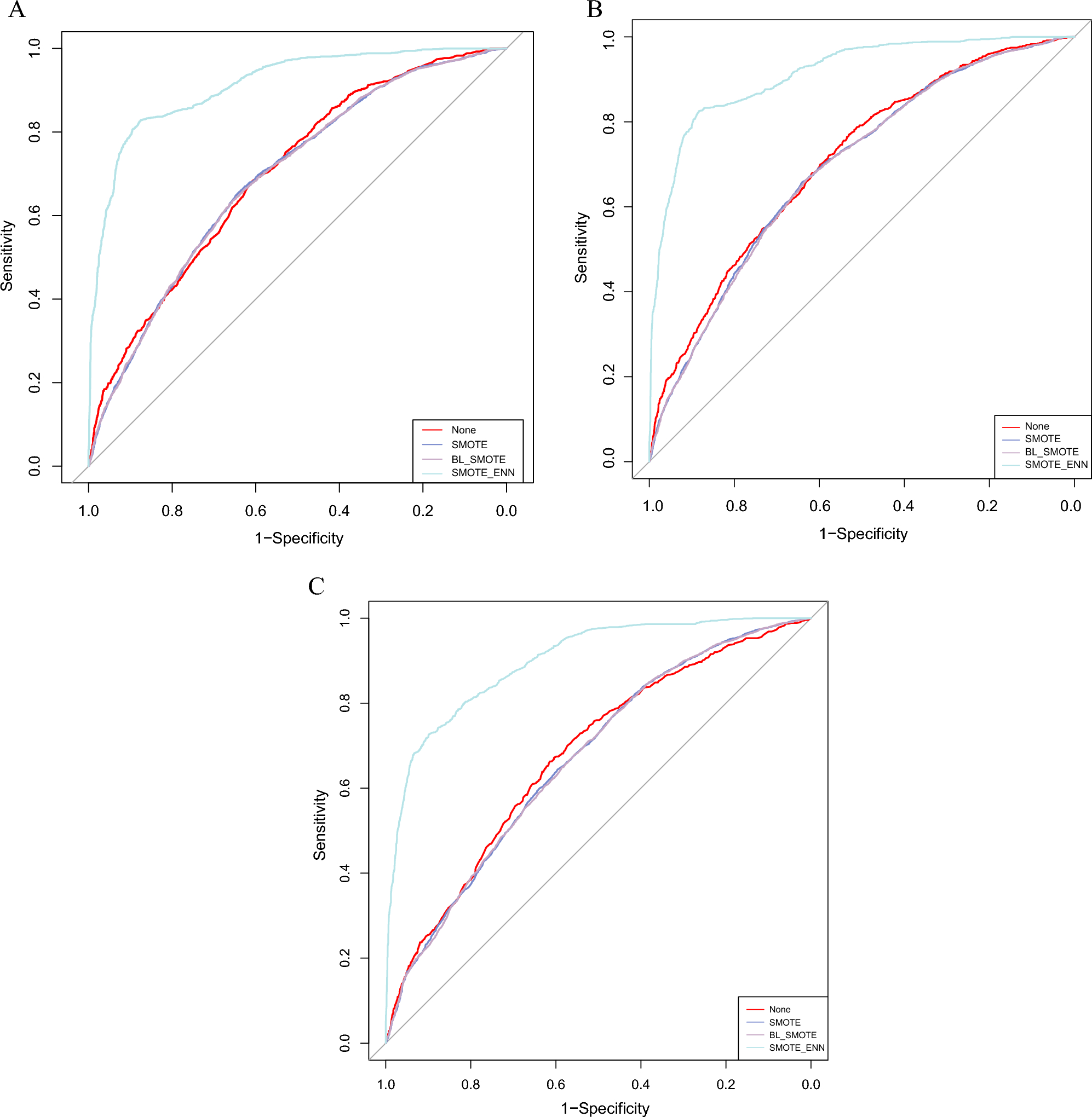
ROC curves of various BNs models under different resampling methods. (A) BNs models constructed by Tabu algorithm; (B) BNs models constructed by Hill-climbing algorithm; (C) BNs models constructed by MMHC algorithm.

ROC curves of various BNs models under different resampling methods. (A) BNs models constructed by Tabu algorithm; (B) BNs models constructed by Hill-climbing algorithm; (C) BNs models constructed by MMHC algorithm.