Figure 4
From: Machine learning-enabled regional multi-hazards risk assessment considering social vulnerability

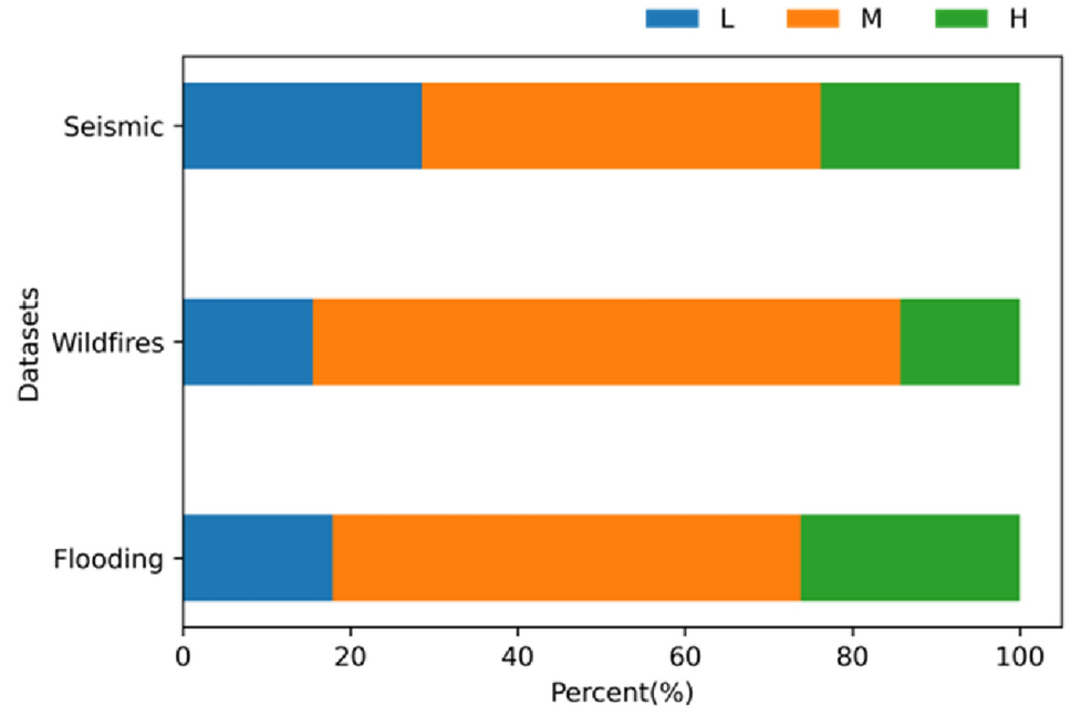
The hazard level distribution of each hazard.
From: Machine learning-enabled regional multi-hazards risk assessment considering social vulnerability

The hazard level distribution of each hazard.